서론
탄성파 탐사는 인위적으로 발생시킨 탄성파가 지하 매질 내에서 반사 및 굴절되어 돌아오는 것을 수진기로 기록하여, 지하 지질구조나 암석의 물리적 특성을 규명함으로써 지하에 매장되어 있는 석유, 가스 등의 자원 탐사, 해저 파이프라인 및 케이블 설치 등의 엔지니어링 탐사 등 해양 탐사에 널리 활용되고 있다. 이때 취득된 자료를 처리 및 해석하기 위해서는 지하 지질구조에 따른 특성 분석에 대한 연구가 먼저 진행되어야 한다. 하지만 탄성파 탐사를 현장에서 실시할 경우 시간 및 경제적으로 제한이 있기 때문에 탄성파 탐사를 이용한 실험을 하거나 개발된 탄성파 탐사 관련 기술에 대해 검증하기 위해서는 현장 탐사보다는 탄성파 모형반응에 대한 실험을 하는 것이 시간 및 경제적으로 이익이다. 탄성파 모형반응에 대한 연구방법에는 수치모형 실험과 축소모형 실험이 있다. 탄성파 수치모형 실험은 지하 매질 내에서 일어나는 물리현상을 여러 가지 수학적인 가정으로 단순화시켜 파의 거동을 묘사하기 위해 이용되며(Alterman and Karal, 1968; Achenbach, 1984; Virieux, 1984; Etgen and OBrien, 2007), 탄성파 수치모형 실험은 모형 내에서 일어나는 지하 구조 모델의 물리현상을 여러 가지 수학적인 가정으로 단순화시켜 반응을 구하며 탄성파 축소모형 실험은 현장 탐사와 유사한 조건으로 측정대상과 측정기기 등을 축소, 단순화시켜 수학적인 가정 없이 실제적이고 물리적인 현상을 다룬 실험이다(Choi et al., 1995).
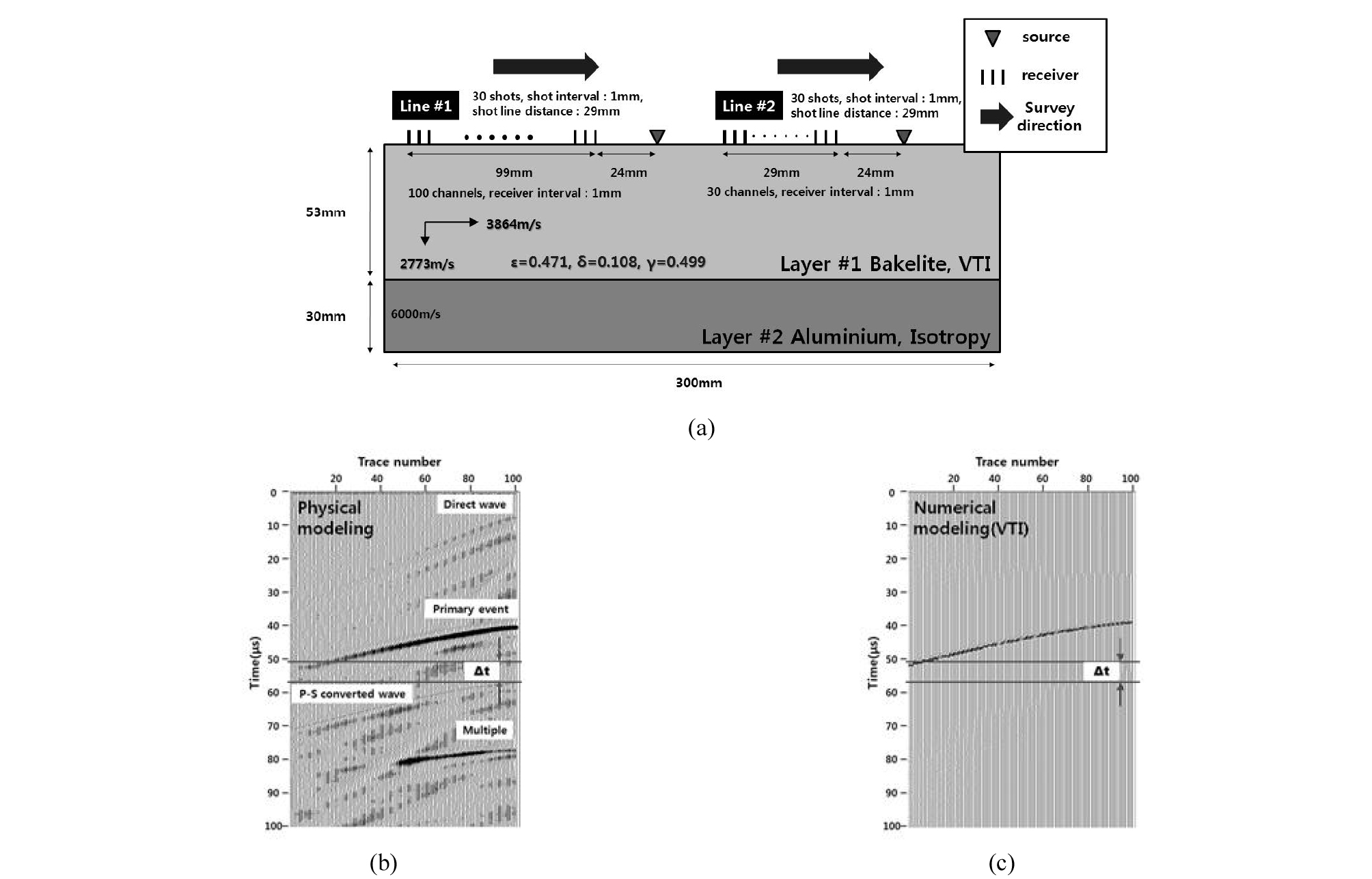
수치모형 실험은 현장 탐사 환경을 모사하기 어렵다는 약점이 있기 때문에 축소모형 실험은 실제 탄성파와 매질을 이용함으로써 수치모형 실험의 단점을 보완할 수 있다(Shin et al., 2006). 또한 시간, 속도, 거리에 해당하는 변수들의 축소를 통하여 현장 탐사 조건과 유사한 측정 환경을 설정함으로써 보다 물리적이고 실제적인 상황에 근접한 자료를 얻을 수 있다는 강점이 있다(Choi et al., 1995). 이러한 탄성파 축소 및 수치모형실험들의 비교를 위해 각 실험의 장·단점을 정리하였으며(Table 1), 각 실험의 탄성파 단면도를 첨부하였다(Fig. 1). Fig. 1(a)는 Fig. 1(b), (c)의 탄성파 단면도의 자료취득 방법이며, 탄성파 축소모형 실험의 단면도인 Fig. 1(b)를 수치모형 실험의 단면도인 Fig. 1(c)와 비교해 보면 탄성파 축소모형 실험의 경우 현장자료와 유사하게 direct wave, multiple이 나타났음을 확인할 수 있다.
Table 1. Comparison of advantage and disadvantage between physical modeling and numerical modeling
탄성파 축소모형 실험은 음원과 수신기의 위치를 제어하는 위치제어 부분, 신호를 발생시키고 수신하는 음원제어 부분, 자료를 취득하는 자료취득 부분으로 구성된 시스템을 통해 수행된다(Fig. 2). 국외에서는 Hilterman(1970)이 3차원 탄성파 축소모형 시스템을 개발하여 실험을 한 이후로 Rana et al. (1990), Koek et al. (1995), Wong et al. (2009) 등이 탄성파 축소모형 시스템 개발과 관련된 연구가 활발히 수행 중이며, 탄성파 이방성 분석, 탄성파 탐사방법, 구조보정, 탄성파 속성 분석 등과 같은 다양한 테마와 접목되어 연구가 수행되어 지고 있다. 하지만 국내의 경우 Kim et al. (1988)이 탄성파 축소모형 실험을 위한 시스템을 최초로 국내에 도입한 이후로 Choi et al. (1995), Shin et al. (2001) 등이 관련 연구를 수행했었지만 탄성파 축소모형 시스템 개발, 탄성파 이방성 특성 분석, 탄성파 속성 분석 등과 같은 극히 제한적인 테마로 수행되었기 때문에 여전히 관련 연구가 부족한 실정이다. 또한, 국외의 경우 Evans et al. (2007) 등이 탄성파 축소모형 실험의 과거 및 현재 현황을 분석함으로써 관련 연구 수행의 기초자료를 제공하고 연구의 질적 향상을 도모하였지만 국내에서는 탄성파 축소모형 실험 관련 연구동향에 관한 논문은 전무하였다.
따라서 국외에 비해 미흡한 국내의 탄성파 축소모형 실험 관련 연구의 현황을 파악하고 탄성파 탐사 관련 연구 중 앞으로 탄성파 축소모형 실험에 적용할 수 있는 연구를 전망할 필요가 있다. 이를 통해 본 논문에서는 과거 국내․외 학회지에 게재된 연구논문 및 발표논문을 연도, 테마, 매질, 탐사환경으로 나누어 연구동향을 분석하고 이를 통해 향후 탄성파 축소모형 실험 관련 연구분야의 전망을 파악하고자 한다.
연구내용 및 방법
본 연구는 탄성파 축소모형의 연구동향을 분석하고 이를 통해 향후 탄성파 축소모형 실험의 전망을 파악하고자 함이며 이를 위한 연구내용 및 방법은 다음과 같다(Table 2).
Table 2. Number of papers and journals used in researching about seismic physical modeling
첫째, 조사 대상을 탄성파 축소모형 실험이 게재되고 있는 국내․외의 대표적인 학회지를 선정하였으며, 1982년부터 2015년까지 논문 중 국내의 경우 ‘탄성파 축소모형 실험’, 국외의 경우 ‘physical modeling’을 키워드로 설정하여 논문들을 검색하였다. 학회 발표가 없는 Journal of Applied Geophysics, Geophysical Journal International은 발표 논문이 아닌 학회지 논문으로만 분석을 수행하였고 나머지 국내․외 학회의 경우는 학회지 논문 및 발표 논문을 포함해서 검색하였다. 검색된 논문의 초록과 서론을 바탕으로 탄성파 축소모형 실험과 직접적인 관련이 없는 논문은 분석 대상에서 제외시켰다. 본 논문에서 연구동향 분석에 활용된 총 논문 수는 국내의 경우 28편이고 국외의 경우 194편이다.
둘째, Table 3과 같이 연구동향을 분석하는 분류 기준을 테마, 매질, 탐사환경으로 선정하고 탄성파 축소모형 실험 관련 논문에서 분류 기준에 따라 공통적으로 나타나는 세부 내용을 선정하였다.
Table 3. Analysis standard for research trend of seismic physical modeling
| Classification standard | Contents | |
| Theme | Anisotropy | Survey method |
| Migration | Attribute | |
| Inversion | Physical modeling system | |
| Medium | Anisotropy | Isotropy |
| Others | ||
| Survey environment | Marine | Land |
마지막으로 분류된 논문들을 연도, 테마, 매질, 탐사환경으로 분석하여 탄성파 축소모형 실험 관련 연구의 연구동향을 파악하고 앞으로의 전망을 제안하였다.
국외 탄성파 축소모형 실험 연구동향 연도별 연구동향
연도별 연구동향
Fig. 3(a)는 1982년부터 2015년까지 국외 탄성파 축소모형 실험 관련 논문에 대해서 연도별로 게재수를 나타낸 그래프이다. 분석 결과 1982~1999년에는 연간 4.1편이던 것이 2000~2009년에는 연간 4.9편으로 높아졌으며 2010~ 2015년에는 연간 11.2편으로 증가하는 것으로 나타났다. 분석 결과를 통해 탄성파 축소모형 실험에 대한 연구가 활발하게 이루어지고 있는 것으로 판단되며 이런 현상은 앞으로도 이어질 것으로 보인다.
테마 별 분류 중 탄성파 이방성 특성 분석, 탄성파 탐사방법, 구조보정, 탄성파 속성분석과 관련된 논문들을 연도별로 분석하였다. 탄성파 이방성 특성 분석과 관련된 논문의 게재수가 지속적으로 증가하는 것으로 나타났으며(Fig. 3(b)), 구조보정과 탄성파 속성분석과 관련된 연구는 2010년대부터 지속적으로 수행되는 것으로 나타나고 있다(Fig. 3(d), (e)). 반면에 탄성파 탐사방법과 관련된 논문의 게재는 산발적으로 수행되는 것으로 나타났다(Fig. 3(c)).
탄성파 축소모형 실험관련 논문들을 각각의 테마에 대해 연도별로 연구동향을 분석한 결과 탄성파 이방성 특성 분석이 다른 테마들에 비해 연구가 많이 수행된 것으로 나타났다. 또한, 연간 논문 게재수도 계속적으로 증가하는 것으로 나타났으며 이러한 추세는 계속 될 것으로 전망된다. 탄성파 이방성 특성 분석을 제외한 연구들은 연대별로 연간 게재수가 비슷하게 나타났으며, 탄성파 속성분석은 1982~1999년과 2000~2009년은 비슷한 연간 게재 수를 나타내었으나 가장 최근 연대인 2010~2015년의 경우 연간 논문 게재수가 급증하는 것을 볼 수 있다. 이는 탄성파 속성분석 관련 연구를 주로 수행하는 China University of Petroleum이 2010년 이후로 탄성파 축소모형 실험과 관련된 연구의 급격한 증가와 관련이 있는 것으로 판단된다.
테마 별 연구동향
탄성파 축소모형 실험 관련 연구에서 수행된 테마는 탄성파 이방성 특성 분석, 탄성파 탐사방법, 구조보정, 탄성파 속성분석 등으로 나눌 수 있다. 테마 별로 국외 탄성파 축소모형 실험 관련 연구동향을 분석한 결과, 탄성파 이방성 특성 분석이 74편으로 전체 194편의 논문 중 38%를 점유하여 가장 많은 연구가 이루어진 것으로 나타났으며, 탄성파 탐사방법이 18편(9%), 구조보정이 17편(9%), 탄성파 속성분석이 16편(8%)의 논문이 발표되었다. 탄성파 이방성 특성 분석, 탄성파 탐사방법, 구조보정, 탄성파 속성분석 분야의 연구가 125편으로 전체 194편의 논문 중 64%를 점유하여 탄성파 축소모형 실험 관련 연구에서 탄성파 이방성 특징 분석, 탄성파 탐사방법, 구조보정, 탄성파 속성분석 분야의 연구가 활발하게 이루어지고 있다고 판단된다(Fig. 4).
연대에 따라 연구 흐름을 파악하기 위해 1982~2015년의 분석기간을 3개의 연대(1982~1999년, 2000~2009년, 2010~ 2015년)로 나누어 연대에 따른 상위 5개의 테마를 분석하였으며, 추가적으로 각 연대에서 가장 많이 수행된 테마에 대해서 복합적으로 접목된 테마도 분석하였다.
1982~1999년 사이에 게재된 탄성파 축소모형 실험 관련 논문들 중 상위 5개의 테마 분석 결과는 Table 4(a)과 같다. 분석 결과, 탄성파 이방성 특성 분석 분야의 논문이 가장 많이 게재된 것으로 분석되었으며, 탄성파 이방성 특성 분석 관련 논문들과 복합적으로 접목된 테마를 분석한 결과(Table 4(b)) 암석 물성에 따른 탄성파 속도 영향 분석이 가장 많이 접목된 것으로 나타났다.
Table 4. The top 5 result by the number of international papers in themes and the analysis of research trend by the highest number of international papers in themes of seismic physical modeling
2000~2009년 사이에 게재된 탄성파 축소모형 실험 관련 논문들 중 상위 5개의 테마 분석 결과는 Table 4(c)과 같다. 분석 결과, 이전 연대와 마찬가지로 탄성파 이방성 특성 분석이 가장 많이 게재된 것으로 분석되었으며, 탄성파 이방성 특성 분석 관련 논문들에서 복합적으로 접목된 테마를 분석한 결과(Table 4(d)) 탄성파 속성 분석이 가장 많이 접목해서 수행된 것으로 분석되었다.
2010~2015년 사이에 게재된 탄성파 축소모형 실험 관련 논문들 중 상위 5개의 테마 분석 결과는 Table 4(e)과 같다. 분석 결과, 앞서 분석한 2개의 연대와 마찬가지로 탄성파 이방성 특성 분석이 가장 많이 게재된 것으로 분석되었으며, 탄성파 이방성 특성 분석 관련 논문들에서 복합적으로 접목된 테마를 분석한 결과(Table 4(f)) 암석 물성에 따른 탄성파 속도 영향 분석이 가장 많이 접목해서 수행된 것으로 나타났다.
매질별 연구동향
탄성파 축소모형 실험 관련 연구에서 사용된 매질은 이방성 매질, 등방성 매질(isotropy), 다공성(porous) 매질 등이 사용되었다. 매질별로 연구동향을 분석한 결과(Fig. 5) 이방성 매질이 가장 많은 연구에서 사용된 것으로 분석되었다.
다음으로 각각의 매질에 따라 연도별로 분석하였다(Fig. 6). 이방성 매질을 연도별로 분석한 결과 1982~1999년에는 연간 1.8편이던 것이 2000~2009년에는 연간 3.1편으로 증가하였으며 2010~2015년에는 연간 6.8편으로 계속적으로 증가하는 것으로 나타났고 앞으로도 이러한 추세는 계속될 것으로 판단된다. 등방성 매질은 1982~1999년에는 연간 2.3편이던 것이 2000~2009년에는 연간 1.4편으로 약간 낮아졌으나 2010~2015년에는 연간 4.0편으로 다시 증가하는 것으로 나타났다.
매질 중 가장 많이 수행되고 있는 이방성 매질에 대해 세부적으로 분석하기 위해 VTI, HTI 등으로 분류를 하여 연구동향을 분석하였다(Fig. 7). 이방성 매질을 세부적으로 분류하여 분석한 결과, 이방성 매질 중에서 VTI 매질이 가장 많이 연구가 수행되는 것으로 분석되었다(Fig. 7(a)).
탄성파 축소모형 실험 중 이방성 매질 관련 연구의 흐름을 파악하기 위해 1982~2015년의 분석기간을 3개의 연대(1982~1999년, 2000~2009년, 2010~2015년)로 나누어 분석하였다. 각 연대별로 분석한 결과 1982~1999년과 2000 ~2009년에는 VTI 매질이 가장 많이 연구에 사용된 것으로 분석되었고(Fig. 7(b), (c)) 2010~2015년에는 HTI 매질이 가장 많이 사용된 것으로 분석되었다(Fig. 7(d)).
탐사환경별 연구동향
탐사환경별로 연구동향을 분석한 결과 해상환경에서 연구를 수행한 논문이 육상환경에서 연구를 수행한 논문보다 많이 수행된 것으로 분석되었다(Fig. 8). 그리고 각각의 탐사환경에 따라 연도별로 분석하였다(Fig. 9). 해상환경일 때 연도별로 분석한 결과 1982~1999년에는 연간 2.2편이던 것이 2000~2009년에는 연간 2.6편으로 증가하였으며 2010~2015년에는 연간 6.7편으로 계속적으로 증가하는 것으로 나타났다. 육상환경일 때 연도별로 분석한 결과는 1982~1999년에는 연간 2.2편이던 것이 2000~2009년에는 연간 2.3편으로 증가하였으며 2010~2015년에는 연간 4.5편으로 해상환경과 마찬가지로 계속적으로 증가하는 것으로 나타났다.
국내 탄성파 축소모형 실험 연구동향
Fig. 10은 국내의 탄성파 축소모형 실험 관련 논문들을 기관에 따라 분석한 결과이다. 우리나라 탄성파 축소모형 실험에 관한 초기 연구는 한국동력자원연구소(현 한국지질자원연구원)가 독일의 Ruhr university Bochum과 공동으로 탄성파 축소모형 실험을 이용한 파형재생법에 관한 연구로 Kim et al. (1988)이 최초로 소개 하였다. 최근 탄성파 축소모형 실험 논문으로는 Lee et al. (2013)이 물성 측정을 위한 탄성파 축소모형 시스템을 구축하고 탄성파 실내시험을 통하여 엔지니어링 플라스틱 코어의 P파 및 S파 속도를 산출하였고 이를 초동발췌법에 의한 초음파속도와 비교함으로써 두 방법이 갖는 특성과 한계를 비교하는 연구를 수행한 논문이 있다. 아를 포함하여 한국지질자원연구원(KIGAM)에서 총 11편(39%)이 게재되었다(Table 5).
Table 5. List of domestic papers relating with seismic physical modeling experiment by KIGAM and KMOU
한국해양대학교(KMOU)에서는 3차원 해양환경 탄성파 축소모형 시스템 개발과 관련된 연구(Shin et al., 2001)를 시작으로 3차원 탄성파 축소모형 시스템을 이용하여 물성 측정과 더불어 실제 탄성파 탐사 환경을 모사하여 가스 하이드레이트의 지구물리학적 특성 연구를 수행했으며(Shin et al., 2006), 국외에서 탄성파 축소모형 실험에 가장 많이 수행된 테마인 탄성파 이방성 특성을 분석하는 연구(Ha and Shin, 2011)를 수행하는 등 총 15편(54%)을 한국해양대학교에서 게재하였다(Table 5). 서울대학교에서 2차원 탄성파 축소모형 시스템을 개발과 관련된 연구(Choi et al., 1995)가 수행되었으며, 전남대학교에서는 유체유동 감시시스템 개발을 위한 탄성파 축소모형 시스템 개발에 대한 연구(Cho et al., 2013))가 수행되었다. 분석 결과, 국내에서 탄성파 축소모형 실험 관련 연구는 한국해양대학교에서 가장 많이 수행되었으며, 한국지질자원연구원, 서울대학교, 전남대학교 순으로 수행되었다. 또한, 탄성파 축소모형 실험 관련 연구가 다양한 기관에서 수행된 것이 아닌 일부 기관에서 수행되는 것으로 나타났다.
국내 탄성파 축소모형 실험 연구의 흐름을 파악하기 위해 연도별로 분석하였다(Fig. 11). 1982~1999년에는 연간 0.38편이던 것이 2000~2009년에는 게재수가 연간 0.40편으로 약간 증가하였고 2010~2015년에는 게재수가 연간 2.83편으로 2010년대부터 지속적으로 탄성파 축소모형 실험 연구에 대한 관심과 연구가 수행되고 있는 것으로 판단된다.
Fig. 12는 테마 별 국내 탄성파 축소모형 실험 관련 연구동향을 분석한 결과이다. 탄성파 축소모형 시스템 개발 관련 연구가 가장 많이 수행되는 것으로 나타났고 다음으로 탄성파 이방성 특성 분석, Q-factor 분석, 암석 물성에 따른 탄성파 속도 영향 분석, 기타(탄성파 속성 분석 등)의 순서로 연구가 수행된 것으로 분석되었다. 이는 국내 탄성파 축소모형 실험의 테마가 탄성파 축소모형 시스템 개발에 집중되어 있고 이 시스템을 활용한 탄성파 축소모형 실험 관련 연구는 국외에 비해 미흡한 것으로 판단된다.
전망
탄성파 축소모형 실험 관련 연구 중 탄성파 탐사와 관련된 자료처리의 검증 및 분석기술에 대한 연구가 주를 이루고 있다. 따라서 탄성파 탐사와 관련된 연구의 추세가 탄성파 축소모형 실험 관련 연구의 추세가 연관이 있을 수 밖에 없다. 하지만 탄성파 탐사에서 개발된 기술의 검증 및 분석을 제외하고 탄성파 축소모형 실험이 탄성파 이방성 특성, 3-D 지질 모델에 대한 반응 등 많은 연구에 필요하다고 판단되므로 앞서 탄성파 축소모형 실험의 연구동향을 분석한 결과를 통해 향후 탄성파 축소모형 실험 관련 연구를 전망해 보았다.
먼저, 앞서 분석한 연구동향에서 가장 많이 수행된 테마인 탄성파 이방성 특성 분석의 경우 앞으로도 지속적으로 연구가 수행될 것으로 예상된다. 특히 기존의 연구에서는 HTI, VTI 등과 같이 단순한 이방성 구조를 가진 모델을 이용하였지만 향후에는 orthorhombic, monoclinic 등과 같은 복합 이방성 구조의 모델을 이용할 것으로 보인다. 또한, 기존의 연구가 이방성 구조를 가진 모델 자체에 대해서 연구가 진행되었지만 향후에는 지층 내에 이방성 구조가 포함된 모델을 이용한 연구가 수행될 것으로 보이며, 지층 내에 유체인 물, 가스, 오일 등을 포함시킴으로써 실제 저류층과 가까운 환경에서 탄성파 이방성 특성을 분석할 것으로 보인다.
두 번째로 자료처리 과정에서 복잡한 지질구조를 영상화하기 위한 구조보정과 탄성파 파형역산에 대한 연구 역시 지속적으로 수행될 것으로 보인다. 습곡, 단층, 층서구조 등과 같은 복잡한 지질구조에서 정확한 지질구조를 나타내기 위해 등방성 매질 뿐만 아니라 이방성 매질에서 적용할 수 있는 구조보정 알고리즘을 개발하는 연구가 진행되고 있으며(Kwak et al., 2011), 구조보정과 탄성파 파형역산에 필요한 현장자료를 탄성파 축소모형 실험으로 취득한 자료로 대체하여 개발되는 알고리즘의 검증 및 분석을 위한 연구가 동행될 것으로 판단된다.
세 번째로 탄성파 축소모형 실험에 사용되는 모델을 보다 다양하게 적용하여 실험할 것으로 예상된다. 전통 자원의 고갈에 따라 극지 환경이나 밀림 지역, 암염돔 등과 같은 복잡한 표면의 형태를 띠는 환경들과 심해저 환경 등 아직 탐사를 많이 수행하지 않은 탐사 환경의 연구에 대한 수요가 증가함에 따라 이런 환경들을 모사하는 모델을 이용한 탄성파 축소모형 실험을 함으로써 관련 연구의 수요를 충족시킬 수 있을 것으로 예상된다.
네 번째로 탄성파 축소모형 실험을 통한 새로운 탄성파 탐사 방법에 대한 개발 및 검증에 관한 연구가 지속될 것으로 보인다. 특히 높은 해상도의 영상을 얻기 위해 기존의 한 방향에서의 탐사보다 넓은 각도로 여러 방향에서 자료를 얻을 수 있는 다양한 방위각 배열 탐사(azimuth configuration survey)와 여러 개의 음원을 동시에 사용하여 탐사하여 기존의 탐사 방법 보다 탐사시간을 단축시키고 한번의 탐사시에 넓은 지역을 탐사 할 수 있는 simultaneous source acquisition과 연계하여 다양한 연구가 수행될 것으로 사료된다.
마지막으로, 탄성파 축소모형 실험을 탄성파 탐사와 관련해서 새롭게 등장하는 테마인 광대역 탄성파 탐사(broad-band seismic) 및 미세 진동(microseismic) 등에 접목시켜 새롭게 개발된 기술 및 이론에 대해 검증과 분석하기 위해 사용될 것으로 보인다. 광대역 탄성파 탐사의 경우 slant streamer, multi-component streamer, novel streamer 등을 통해 취득된 자료를 이용해서 다른 자료취득 및 자료처리 기술과 함께 사용함으로써 해상도를 향상시킬 수 있을 것으로 사료되고 고스트 현상을 없애기 위해 개발된 알고리즘을 검증할 수 있을 것으로 보인다. 그리고 미세 진동의 경우 탄성파 축소모형 실험은 모델의 속도정보를 알고 있기 때문에 도달되는 P파의 초동시간을 이용해서 미세 진동이 일어나는 위치 및 미세 진동 자료의 특성을 분석하는데 사용될 것으로 판단된다.
결론
본 논문은 국내 탄성파 축소모형 실험 관련 연구의 현황을 파악하고 탄성파 축소모형 실험의 개발 및 발전을 도모하기 위해 1982~2015년까지 수행된 국내․외 탄성파 축소모형 실험 관련 논문들의 연구동향을 분석함으로써 향후, 탄성파 축소모형 실험 관련 연구를 전망하고자 수행되었다.
첫째, 국외의 경우 탄성파 축소모형 실험 관련 연구가 연도별로 2000년도 이전에는 연간 4.1편에 불과했지만 2000년대 이후 꾸준히 발표되었고 2010년 이후 연간 11.2편으로 압도적인 증가 양상을 보이는 것을 미루어 보아 앞으로도 지속적으로 증가할 것으로 판단된다. 하지만 국내의 경우 일부 대학과 연구원을 중심으로 수행되어 왔으나 국외에 비해 연간 게재수가 크게 떨어지는 모습을 보이며 연속성도 떨어지는 것으로 분석되었다. 따라서 탄성파 축소모형 실험 관련 기술의 발전을 위해서는 활발한 연구가 필요하다고 판단된다.
둘째, 국내 및 국외의 탄성파 축소모형 실험 관련 논문에 대다수가 대학을 위주로 수행되었고 산업체의 경우 산학연계형 연구 포함 전체의 약 12%(22건)에 불과하였다. 이처럼 산학연계형의 공동연구가 부족한 것으로 나타나 탄성파 축소모형 실험 관련 연구를 더욱 활발히 수행하기 위해서 산업체 현장에 적용할 수 있는 다양한 연계형 연구가 필요할 것으로 판단된다.
셋째, 탄성파 축소모형 실험에 대한 다양한 테마의 연구가 필요하다고 판단된다. 국내의 경우 테마가 탄성파 축소모형 시스템 개발에 집중되어 있고 이 시스템을 활용한 탄성파 축소모형 실험 관련 연구는 미흡한 것으로 판단된다. 하지만 국외의 경우 탄성파 이방성 특성 분석, 탄성파 탐사방법, 구조보정, 탄성파 속성분석 등 다양한 테마에 대한 연구가 수행되고 있었다. 특히, 탄성파 이방성 특성 분석이 가장 많이 게재된 것으로 분석되었다. 따라서 앞으로도 탄성파 이방성 특성 분석 관련 논문들이 탄성파 축소모형 실험 관련 논문에서 중심이 될 것으로 보인다. 또한, 이방성 매질은 HTI, VTI 매질 등과 같이 단순한 이방성 구조를 가진 모델이 아닌 orthorhombic, monoclinic 등과 같은 복합적인 이방성 구조로 구성된 모델과 지층 내에 이방성 구조가 포함된 모델을 이용한 탄성파 이방성 특성 분석 관련 논문이 앞으로 게재될 것으로 예상된다.
그리고 습곡, 단층 등과 같은 복잡한 지질구조에서의 자료처리를 위해 구조보정과 탄성파 파형역산에 관한 연구가 탄성파 축소모형 실험과 접목되어 수행될 것으로 사료된다.
마지막으로 새롭게 등장하는 테마인 미세 진동 및 광대역 탄성파 탐사와 전통적인 자원의 고갈에 따른 현재 연구를 많이 수행하고 있는 극지 및 심해저 환경의 모델과 다양한 탐사 방법을 이용해서 다양한 테마를 탄성파 축소모형 실험에 접목시켜서 연구를 수행할 필요가 있다고 판단된다.
본 논문을 통해 탄성파 축소모형 실험 관련 연구의 과거 및 현재 현황을 파악할 수 있었으며 이를 이용하여 관련 연구 수행의 기초자료를 제공할 것으로 예상된다. 또한, 미래의 탄성파 축소모형 실험 관련 연구에 대한 전망을 할 수 있다는 점에서 의미가 있었다고 판단된다.






.jpg)
.jpg)
.jpg)
.jpg)
.jpg)
.jpg)








