서 론
연구 방법
연구 대상 지역
시료채취
분석 방법
연구 결과
농경지 토양의 비소 함량
토양의 질(화학특성) 평가
비소의 생물학적 접근성
연속추출에 의한 비소 존재형태
고 찰
생물학적 접근성 관련 영향인자 분석
존재형태별 농도와 토양의 질과의 상관성 분석
결 론
서 론
한국광해광업공단의 오염 농경지에 대한 토양개량·복원사업은 주로 복토법, 혼합법 및 중화법 등 지속적인 작물재배가 가능한 토양으로의 복원이 목적으로 대부분 복토법 또는 환토법과 병행하여 조건에 따라 안정화 공법을 병행하여 차등 적용하고 있다(Jung, 2008: Kwon et al., 2015; KOMIR, 2022). 안정화공법은 오염토양에 안정화제를 투입하여 오염물질의 이동성을 저감시키는데 목적이 있으며, 이동성 저감을 통해 오염토양에 재배되는 식물체에 대한 생물학적 유효도를 감소시키는 과정으로 설명할 수 있다(Kim et al., 2010). 다만 일반적인 토양정화의 관점에서 보면 오염물질의 근본적인 제거는 아니라고 볼 수 있지만 농경지 토양으로서 재사용이라는 관점에서 보면 토양비옥도의 유지를 위해서는 안정화가 현실적으로 가장 타당한 방안이라 보여진다(Koh et al., 2013).
하지만 현재 토양오염의 판단 기준이 원소의 전함량 농도에 기반을 두고 있어 비소 및 중금속의 이동, 확산 및 위해성을 감소시키는 안정화 공법 평가에는 부합되지 않는 측면이 있다. 전함량 평가 방법은 노출경로를 고려한 인체위해성 평가에 좋은 방법으로 알려져 있지만 생물유효도를 평가함에 있어서는 한계성이 있다고 알려져 있다(Chen et al., 1996). 토양 중 금속의 이동성 및 생물유효성 등은 존재형태에 따라 달라지는데 연속추출방법은 생물학적이용성 또는 이동성을 평가하는데 유용한 것으로 알려져 있다(Pueyo et al., 2004). 또한 중금속의 이동성을 평가하는 방법으로 1M NH4NO3 용출제(DIN, 1995), 0.1 M NaNO3 용출제(VSBo, 1986), 0.01 M CaCl2(Van Ranst et al., 1999), 0.5 M HNO3(ISO, 2016) 및 0.05~1 M EDTA(Chaignon et al., 2003)와 같은 다양한 종류의 단일 용출법이 적용되고 있다.
광해방지분야의 모니터링은 경작층 토양의 오염물질을 분석해 법적 환경기준 만족여부를 확인하지만 효율적인 모니터링을 위해서는 토양의 질과 안정화층의 안정성(stability)과 안전성(safety) 유지 여부를 평가할 수 있는 모니터링 항목 설정이 필요한 상황이다. 최근 농업의 지속성을 고려한 생산성과 안전성 및 체계적인 토양 관리 체계를 위한 평가로 토양질에 대한 평가를 수행하고 있다(Lee et al., 2021). 국내 토양질에 관한 최근 연구는 “오염토 및 정화토의 토양건강성 평가·진단 시스템”(KEITI, 2023)이 대표적이며, 총 9가지의 평가 지표를 설정하였다. Bunemann et al.(2018)은 1990년부터 2017년까지 발간된 49개 간행물에서 도출된 토양의 건강성 지표의 이용 빈도를 활용하여 토성, 용적밀도, pH, EC 및 함수율 등 총 27개의 평가 지표를 설정하였다.
이에 본 연구에서는 토양개량·복원사업 완료부지를 대상으로 안정화층의 안정성 평가 방안과 토양의 질 관리가 포함되는 방안으로 전환할 수 있도록 평가 방안을 모색하였다. 또한 복토층 하부 안정화층의 기능 및 성능을 확인하기 위해 SBRC(Solubility/Bioa-vailability Research Consorium)와 연속추출법을 적용하여 토양의 질과 금속류의 상관성에 대하여 추가적으로 검토하였다. 이러한 연구결과는 향후 토양개량·복원사업의 모니터링 및 사후관리를 위한 기초자료로 활용될 수 있을 것이다.
연구 방법
연구 대상 지역
모니터링 필지 선정을 위해 최근 5년(2019~2023년) 사업이 완료된 부지를 대상으로 3개의 석탄광산(후천, 봉정탄광, 동해삼창) 및 4개 금속광산(상곡, 유진, 양당아연, 두촌) 총 7개 광산 8개 필지를 선정하였다(Table 1). 토양은 불균질성을 갖고 있으며, 지역마다 농경지의 토양 질 차이가 있는 것으로 알려져 있다(RDA, 2021). 따라서 오차를 최소화 하기 위해 강원도(태백시, 정선군, 영월군)지역과 인접한(충북 단양군) 지역으로 한정하였다. 안정화제는 석회석 5%와 제강슬래그/석회석 혼합물을 사용한 농경지 필지를 선정하였다. 본 연구에 사용된 주 타겟 오염물질은 비소(As)이다.
Table 1.
The studied mine and agricultural lands where soil improvement was completed
시료채취
복구지 안정화 효율 평가와 부지의 오염 발생 개연성을 확인하기 위하여 조사대상으로 선정된 8개 필지에서 2024년 5월부터 2024년 10월까지 6개월간 수행하였다. 해당 지역은 하부 오염토양에 안정화제를 혼합(안정화층)한 뒤 일정 두께의 청정한 토양으로 복토(복토층)를 실시한 지역이다. 토양시료채취는 매뉴얼 장비를 이용하여 과거 토양개량복원사업 내용을 바탕으로 지표로부터 복토층(0~40 cm) 및 안정화층(40~60 cm)으로 구분하여 1개 필지 당 토양 2개를 채취하였다. 시료채취 지점 선정은 토양오염공정시험기준(NIER, 2022)을 준용하여 지그재그 형으로 5~10지점에서 채취한 시료를 혼합하여 한 개의 시료로 하였다.
분석 방법
채취된 시료는 주 오염물질인 비소에 대해서만 (재)환경기술원에서 분석을 수행했고, 토양오염공정시험기준(NIER, 2022)에 따라 왕수 추출법으로 추출한 후, 유도결합플라즈마발광광도기(Inductively Coupled Plasma Optical Emission Spectometer, ICP-OES)로 분석을 수행하였다. 토양의 화학성분을 평가하기 위해 농촌진흥청 토양화학분석법(RDA, 2002)에 준하여 분석하였다(Table 2).
Table 2.
Soil chemical analysis methods
안정화층의 효율성 평가를 위해 비소의 생물학적접근성을 확인할 수 있는 SBRC(Kelley et al., 2002)을 적용하였다. SBRC 방법은 현재 USEPA에서 생물학적접근성을 결정하기 위한 SOP(standard operating procedure)로 활용되고 있다(USEPA Region 8, 2012). SBRC 방법의 절차는 다음과 같다. 150 µm 이하의 토양 1 g과 HCl을 이용해 pH 1.5로 조절한 0.4 M glycine buffer 용액 100 mL을 HDPE bottle에 넣고, Open air shaker(OS-3000)을 이용해 37℃에서 1시간 동안 교반시킨 후, 상등액을 0.45 µm cellulose acetate 필터로 거른 용액을 이용하여 ICP-OES로 분석하였다.
안정화층 토양 내 비소 존재형태를 알아보기 위해 연속추출법(sequential extraction)을 이용하였다(Table 3). 연속추출법을 실시하는 동안 각 단계별 침출액을 분석하기 전 증류수로 토양을 세척하여 잔류 성분에 대한 오차를 최소화 하였으며, 토양 내 잔류하는 비소 전함량 확인에 이용되는 용출제의 차이점에 의해 발생하는 오차를 줄이고자 잔류물 형태(5단계)의 용출에는 전함량 분석과 동일하게 왕수추출법을 사용하였다.
Table 3.
Sequential extraction procedure methods (Wenzel et al., 2001)
| Fraction | Extractable phase | Chemical extractions | Reference |
| Ⅰ | Non-specifically bound | 0.05 M (NH4)2SO4 | Wenzel et al., 2001 |
| Ⅱ | Specifically bound | 0.05 M (NH4)H2PO4 | |
| Ⅲ | Amorphous Fe-Al oxide bound | 0.2 M NH4-oxalate buffer (pH 3.25) | |
| Ⅳ | Crystalline Fe-Al oxide bound |
0.1 M ascorbic acid + 0.2 M NH4-oxalate buffer (pH 3.25) | |
| Ⅴ | Residuals | Aqua regia (3 : 1 = HCl : HNO3) | KMOE, 2022 |
연구 결과
농경지 토양의 비소 함량
광해방지사업이 완료된 8개의 농경지 내 복토층과 안정화층 토양을 대상으로 비소의 전함량을 분석한 결과를 아래에 정리하였다(Table 4). 복토층에서는 모든 필지에서 토양오염우려기준 “1지역” 기준 이내로 검출되었으며, 국내 비소 배경농도와 복토층 최대값을 비교한 결과 3개 필지(봉정탄광, 후천, 양당아연)에서는 배경농도(KMOE, 2022) 보다도 낮은 농도를 보였다. 안정화층 최대값과 비교한 결과 모든 필지에서 토양오염우려기준을 초과하였으며, 후천 광산에서는 최대 약 5배 이상 높은 값을 확인할 수 있었다.
Table 4.
Range and mean of arsenic in agricultural soils and Korean soil regulatory levels (mg/kg) (n = 6)
| Mine | Cover (0~40 cm) | Stabilized (40~60 cm) |
Worisome Levels1) (Region 1) |
Background concentrations2) | |||||
| Min | Max | Average | Min | Max | Average | ||||
| Donghae samchang | 0.92 | 17.0 | 10.2 | 20.2 | 49.3 | 10.2 | 25 | 6.26 | |
| Bongjeong | 1.40 | 3.57 | 2.7 | 7.59 | 27.6 | 2.7 | |||
| Hucheon | 1.46 | 5.90 | 3.3 | 9.78 | 135.6 | 3.3 | |||
| Ducheon | 4.39 | 7.11 | 5.8 | 7.11 | 28.8 | 5.8 | |||
| Sanggok | 6.63 | 17.9 | 12.0 | 14.0 | 49.9 | 12.0 | |||
| Yangdang ayeon | 0.57 | 4.67 | 2.6 | 21.3 | 63.2 | 2.6 | |||
| Eugene 39 | 16.5 | 19.4 | 18.1 | 65.0 | 97.1 | 18.1 | |||
| Eugene 147 | 10.0 | 21.0 | 16.1 | 13.2 | 26.5 | 16.1 | |||
1)NIER(2022), 2)KMOE(2022).
토양의 질(화학특성) 평가
복토층과 안정화층 토양을 대상으로 토양 화학특성을 분석한 결과를 Fig. 1에 도시하였다. pH는 토양 중 금속의 용해도와 화학종에 강한 영향을 미치기 때문에 최종적으로 금속의 생물유효도에 중요한 역할을 한다(Zhao et al., 2010). pH는 복토층에 비해 안정화층 토양에서 다소 높은 값을 보였는데 이는 알칼리 안정화제에 의한 영향으로 볼 수 있다. 중성에서 가장 낮은 이동도를 가지는 비소 오염토양을 대상으로 알칼리 안정화제를 사용한 것은 토양개량복원 설계당시 현장시험구를 통해 가장 양호한 안정화 효율을 보이는 안정화제를 활용하였기 때문이다. 복토층에서는 두촌광산과 유진 39 필지를 제외하면 7에 근접하거나 다소 낮은 수치를 보이고 있는 반면, 상곡광산에서는 7.47로 높은 값이 확인되었다. 작물생육 적정 pH 범위는 6~7로 상곡광산 농경지의 경우 다소 높다고 할 수 있다(Chae et al., 2013).
전기전도도(EC)는 일반적인 환경에서는 식물의 영양 공급 상태를 나타내는데 사용되며, 국내 자연 지역에서의 토양은 0.14~0.6 dS/m 정도를 유지한다(KEITI, 2023). 전기전도도값이 2 dS/m 이하가 적정한 농도이며, 4dS/m 이상이면 작물의 생육장해를 발생시키며, 농경지의 최적범위는 0~0.5 dS/m이다(Jung and Kim, 2002). 8개 필지 중 6개 필지에서 복토층보다 안정화층에서 높은 값을 보였으며, 특히 유진 39 필지에서는 안정화층보다 복토층에서 약 2배 이상 높은 값으로 확인되었다. 하지만 모든 필지에서 1dS/m 이하의 전기전도도 값을 보여 전기전도도 염류로 인한 식물생육의 악영향은 없을 것으로 판단된다.
유효인산은 식물체에 흡수되어 식물이 이용할 수 있는 형태의 토양 인산으로 식물에서 광합성, 호흡, 에너지 저장 및 전달, 세포 분열 및 여러 과정에서 역할을 하는 식물의 전 생육기간에 필요한 필수 원소이다(Merrington et al., 2006). 유효인산은 토양 표면에서 비소와 동일한 흡착부위를 두고 경쟁하는 인자로, 높은 유효인산은 토양 내 비소의 이동성을 증가시킬 수 있다(Sato et al., 2023, Strawn, 2018). 유효인산의 적정범위는 논에서는 80~120 mg/kg, 전에서는 300~500 mg/kg으로 밭에서 상대적으로 높은 함량이 요구된다(Yang et al., 2008). 총 8개 필지 중 4개 필지(유진 147, 두촌, 후천 및 동해삼창)에서 안정화층이 더 높게 나타났으며, 밭으로 사용되고 있는 유진 39 필지에서만 평균 464.8 mg/kg으로 적정수준을 보였고, 그 외 복토층에서는 모두 부족한 것으로 확인되었다. 그 외 4개 필지에서는 안정화층에서 더 높은 유효인산 값을 보였는데 이는 그 전에 경작지로 활용되어 인산질 비료 때문인 것으로 판단된다.
양이온교환용량(CEC)가 값이 클수록 생육에 필요한 유효 영양성분이 보유량이 크므로 작물을 안정적으로 재배할 수 있으나, Han et al.(2024)이 관찰한 바에 따르면, 양이온교환용량이 증가할수록 토양 내 비소의 이동성 또한 증가하는 경향을 보이는 것으로 보고되었다. 국내의 자연 지역에서의 CEC는 14~22 cmolc/kg 알려져 있으며(Kim, 2015), 농경지 적정 허용범위는 5.0~6.0 cmolc/kg이다(Yang et al., 2008). 총 8개 필지 모두 안정화층 및 복토층에서 농경지 적정범위를 초과하였으며, 특히 유진 39 필지에서는 적정농도의 약 5배 이상 초과하였다. 다만 유진 39 필지를 제외하고는 자연 지역의 CEC 값 범위 내에 머무는 것으로 확인되었다.
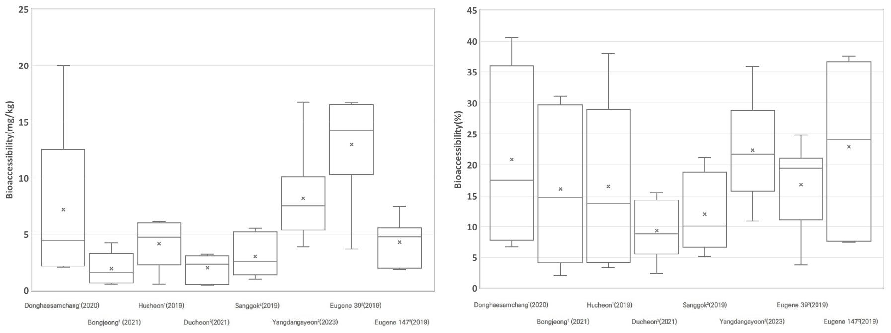
비소의 생물학적 접근성
생물학적 접근성을 분석하기 위한 방법인 SBRC 방법으로 추출되는 비소 농도와 생물학적 접근성 분석 결과를 Table 5 및 Fig. 2에 정리하였다. 안정화층에 대해 SBRC 방법으로 추출된 비소 농도 범위(평균, mg/kg)는 1.92~13.0 mg/kg(5.47), 비소의 생물학적 접근성은 9.36~22.9%(17.1)로 나타났다. 생물학적 접근성이 높은 비소의 용출량은 토양 중 비소 농도의 9.36~22.9%로 낮은 수치지만 일부 필지에는 비소가 고농도로 존재하여 비소의 위해성이 상당히 높음을 알 수 있었다(Fig. 2). Kwon and Kim(2017)의 연구 결과 광산 주변 토양에서 생물학적 접근성은 21%이나 이번 연구에서는 17.1%로 다소 낮은 값을 보였으며, Yang et al.(2014)의 제련소 주변 토양에서의 비소 생물학적 접근성은 29.5%로 광산주변 토양보다 높은 값을 나타내었다.
Table 5.
Concentrations and bioaccessibilities of arsenic (mg/kg) (n = 6)
| Mine | Bioaccessible As (mg/kg) | Bioaccessibility (%)1) | |||||
| Min | Max | Average | Min | Max | Average | ||
| Donghaesamchang | 2.04 | 20.0 | 7.19 | 6.77 | 40.6 | 20.9 | |
| Bongjeong | 0.55 | 4.25 | 2.00 | 1.99 | 31.1 | 16.1 | |
| Hucheon | 0.55 | 6.12 | 1.92 | 3.31 | 38.0 | 16.6 | |
| Ducheon | 0.47 | 3.23 | 3.04 | 2.36 | 15.6 | 9.4 | |
| Sanggok | 0.97 | 5.52 | 8.23 | 5.13 | 21.2 | 12.0 | |
| Yangdangayeon | 3.88 | 16.7 | 13.0 | 10.9 | 35.9 | 22.4 | |
| Eugene 39 | 3.68 | 16.7 | 4.29 | 3.79 | 24.8 | 16.8 | |
| Eugene 147 | 1.82 | 7.44 | 4.16 | 7.55 | 37.6 | 22.9 | |
연속추출에 의한 비소 존재형태
토양 중 비소의 존재형태를 확인하기 위해 연속추출법(Wenzel et al., 2001)을 수행하였다(Table 6). Wenzel 법에서는 중금속의 결합형태를 총 5단계로 구분하고 있으며, 1단계(Non-specifically sorbed), 2단계(Specifically sorbed), 3단계(bound to amorphous oxides), 4단계(bound to crystalline oxides) 및 5단계(Residual)로 구분된다. 이 분석에서는 각 단계의 결합형태를 순차적으로 용출시켜 각 단계의 구성 비율을 확인하였다. 분석결과 석탄광산(동해삼창, 후천광산)에서 결합력이 강한 4단계와 5단계 합이 76% 이상으로 이동도가 낮은 것으로 확인되었으며, 용출가능성이 높은 1단계에서 3단계의 합이 23%로 다소 높게 평가되었다(Fig. 3). 금속광산, 두촌광산에서는 잔류성 형태는 85%로 매우 높은 비율로 확인되었으며, 양당아연 광산의 경우 잔류성형태와 이동가능성이 높은 단계에서 50%로 동일한 비율을 보였다. 그 외 광산에서도 대부분이 4단계 결정질산화물과 5단계 잔류성형태로 결합된 형태로 존재하는 것을 확인할 수 있었다(Fig. 3). 이는 토양 광물은 비소의 흡착 및 반응에 의해 토양 중 비소의 존재형태 및 거동에 큰 영향을 주게 되며 그 중에서 특히 철(수)산화물은 비소와의 강한 친화력으로 인하여 환경 중 비소가 주로 철(수)산화물에 결합하여 존재하는 것으로 알려져 있다(Kim et al., 2014). 회수율을 확인한 결과 96~120%로 모든 시료에서 ±20%의 오차 범위를 보여 연속추출 분석결과와 전함량 분석결과의 일관성을 확인할 수 있었다. 일부 오차범위가 높은 부분은 향후 많은 시료 분석을 통해 보완될 수 있을것으로 판단된다.
Table 6.
Distribution of arsenic fractions in soil
고 찰
생물학적 접근성 관련 영향인자 분석
피어슨 분석법을 이용해 폐광산 주변 농경지의 토양의 질 화학성분과 SBRC 분석에 의한 비소의 생물학적 접근성의 관계를 나타내었다(Table 7). 토양 중 비소의 인체흡수도는 pH 값, 전기전도도(EC), 유효인산 및 양이온교환능력 함량과 정의 상관성을 보였으며, 비소 전함량 농도는 상관관계가 드러나지 않았다. 기존 연구에서는 토양 중금속의 생물학적 접근성은 토성뿐만 아니라 토양 pH, EC 및 유기물함량과의 관련성이 크다고 알려져 있다(Luo et al., 2012). 이러한 결과와 기존 연구사례를 검토한 바, 일반적으로 토양 내 이화학성 특성이 비소 함량 비율과 더불어 식물흡수도에 크게 영향을 주고 있다고 판단할 수 있다. 각 지표는 각기 다른 지화학적 기작을 통해 영향을 미치고 있을 것으로 추측되며, pH의 변화는 토양환경 내 비소의 이동성을 증가시킬 수 있고, 토양 내 이온을 지표하는 EC와 유효인산 농도는 토양 내 이온의 경쟁 흡착을 통해 비소의 탈착을 유도할 수 있다. 양이온교환능력은 일반적으로 높은 값을 나타낼수록 음이온은 용출 가능성이 높아지는 지표이다.
Table 7.
The relationship between the chemical properties and SBRC bioavailability quotient of arsenic in agricultural soils (n = 8)
존재형태별 농도와 토양의 질과의 상관성 분석
안정화층의 토양 중 비소의 존재형태와 토양의 질 특성간의 상관성을 분석하여 Table 8에 나타내었다. 석탄광산에서의 pH는 6.7~7.1의 약산성으로 금속의 이동성이 좋은 1단계, 2단계에서 전반적으로 통계적 유의성이 낮았으나 금속광산에서는 6.9~7.6의 pH가 나타났고, 금속의 이동도가 높은 1, 2단계에서 비교적 강한 계상관성을 보이고 있다(p < 0.001). 이 또한, 광산에 따라 양의 상관성(0.92)과 음의 상관성(‒0.91)을 가지는 경우가 모두 나타난다. 일반적으로 금속의 용해도는 pH가 낮을수록 올라가고 pH가 높아질수록 낮아지는 경향으로 알려져 있지만(Tills and Alloway, 1983), 이번 연구에서는 중성에서 가장 낮은 용출특성을 가지는 비소(Kim, 2005)를 대상으로 분석하였기 때문에 비선형 관계성이 나타난 것으로 해석할 수 있다. 토양 전기전도도(EC)는 석탄광산인 동해삼창에서는 1, 2단계와 높은 상관성을 보였고(p < 0.001), 금속광산인 상곡 및 양당아연에서도 이동성이 높은 존재형태와 양의 상관성이 있는 것으로 나타났다. 유효인산은 주로 결합력이 강한 4단계와 5단계에서 통계적으로 유의한 상관성을 가지는 것으로 확인되었다(p < 0.001). 전기전도도(EC)는 토양환경 내 염류 이온 농도를 반영하는 지표로, 음이온이 비소와 흡착 자리를 두고 경쟁함으로써 비소의 용출 및 이동성을 증가시킬 수 있다(Manning and Goldberg, 1997). 또한 유효인산은 비소와 유사한 음이온으로 거동하여 토양입자 표면에서 경쟁흡착을 유발하고, 이에 따라 비소의 고정화를 억제하여 생물학적 접근성을 높이는 것으로 보고되었다(Wu et al., 2022; Strawn, 2018). 양이온교환능력(CEC)는 석탄광산에서 주로 이동도가 적은 4단계에서 높은 음의 상관성을 보였으며(p < 0.001), 금속광산에서도 주로 4단계에서 음의 상관관계를 보이고 있었다.
Table 8.
Correlation matrix of arsenic concentrations between sequential extraction and soil quality (n = 6)
결 론
본 연구는 최근 5년간(2019~2023) 토양개량·복원사업이 완료된 폐광산 주변 농경지를 대상으로, 토양의 비소함량, 토양의 화학적 특성, 비소의 존재형태와 비소의 생물학적 접근성을 수행하였다.
복토층에서 비소 평균농도는 모두 토양오염우려기준 “1지역”보다 낮은 함량을 보인 반면 안정화층 평균함량 기준으로 총 8개 필지 중 5개 필지에서 토양환경기준을 초과하였다. 생물학적접근성을 확인하기 위해 SBRC 분석 결과 비소 농도 값과 비슷한 경향을 보이지 않아 전함량 농도와는 관계가 없는 것으로 판단되며, 생물학적접근성을 반영한 안정화 효율평가를 위해서는 추가적인 분석이 필요할 것으로 판단된다. 토양의 질(pH, EC, 유효인산, CEC)과 생물학적접근성 간에는 통계적으로 유의한 상관관계가 확인되었으며, 이는 토양의 질이 비소의 위해성 평가에 중요한 변수임을 시사한다. 연속추출법을 통해 비소의 존재 형태를 분석한 결과, 대부분의 비소는 이동성이 낮은 결정질 산화물(F4) 및 잔류성 형태(F5)로 존재하여 위해 가능성이 낮은 것으로 평가되었으며, 이는 토양 내 비소와 친화력이 높은 철(수)산화물의 영향으로 판단된다. 토양의 질과 비소의 존재형태 간에는 각 항목별, 광종별로 특이적인 상관관계가 확인되었다.
이상의 결과에서 토양개량·복원사업이 완료된 농경지의 모니터링 시 생물학적접근성 및 토양의 생산성을 고려한 토양의 질 평가를 포함한 방향으로 진행되어야 할 것임을 제언할 수 있을 것이다.





