서 론
지하갱도 안정성 평가 이론
한계변형률 이론
겉보기 탄성계수 이론
광산갱도 계측 시스템 구축
계측 계요
계측 갱도 굴착
광산갱도 계측 결과
갱도 변위 계측
스프레이 콘크리트 응력 계측
모델함수를 이용한 계측 전 변위 및 최종 변위 예측
광산갱도 안정성 평가
한계변형률 개념을 이용한 안정성 평가
겉보기 탄성계수 산정을 통한 안정성 평가
결 론
서 론
연약지반에서 운용중인 광산의 경우 대규격 갱도가 적용됨에 따라 갱도 안정성 및 채광작업시의 안전에 영향을 미치게 되어, 다양한 형식의 광산 지보재(록볼트 및 강지보)를 이용하여 갱도 보강을 실시하고 있는 상황이다. 일반적으로 광산 지보재로 적용되고 있는 록볼트 및 강지보재는 시공 및 활용면에서 지보효과가 부족하고 공사기간이 장기화되어 경제성에서도 효율이 낮기 때문에, 최근 터널 시공분야에서 적용되고 있는 스프레이 콘크리트 공법이 광산갱도 지보로서 활용되고 있다(KICT, 2009). 그러나 국내 광산 여건상 갱도 굴착시마다 스프레이 콘크리트를 시공하는 것이 현실적으로 불가능하며, 막장 상태 및 채광 안정성에 의해 연약지반에서만 시공되고 있는 실정이기 때문에 항상 위험에 노출되어 있는 상황이다(KICT, 2008). 또한, 굴착 시공 중 갱도의 거동 변화에 따른 안정성 평가 관리 기준이 전무한 실정이며 이에 대한 연구도 많이 부족한 상황이다. 따라서 갱도의 굴착 시공 중 변화하는 지반의 거동을 미리 예측하고 적절하게 대응하여 사고의 위험을 예방할 수 있는 방법에 대한 연구가 절실하게 필요하다고 판단된다(KICT, 2012).
본 연구에서는 광산갱도 보강용 스프레이 콘크리트를 적용한 갱도의 보강 효과를 파악하기 위해 실제 굴착 중인 광산갱도를 대상으로 계측 시스템을 구축하였다. 암질과 갱도의 규격이 비슷한 두 개의 광산갱도를 선정하여 한 갱도는 무지보 상태로 유지하고 다른 갱도는 스프레이 콘크리트 보강을 실시하여, 무지보 및 스프레이 콘크리트 보강갱도의 거동을 계측하여 갱도 안정성을 평가하고 지보 보강 효과를 규명하고자 하였다. 또한, 굴착 진행시 갱도의 변위량을 계측하여 주변 지반의 일축압축강도를 고려한 한계변형률을 이용하여 광산갱도 안정성을 평가하고, 겉보기 탄성계수 개념을 도입하여 스프레이 콘크리트의 지보 효과를 평가하고자 하였다.
지하갱도 안정성 평가 이론
지하공동 굴착 후 갱도의 안정성 및 지보공법에 대한 평가는 이론해석적인 방법(Sagaeta, 1987; Verruijt, 1997), 수치해석적인 방법(Swoboda, 1979), 역해석적인 방법(Sakurai et al., 2003) 등이 주로 이용되고 있다. 국내의 경우 터널 부분에서 설계와 시공에 적용되고 있는 안정성 평가방법은 크게 응력개념과 변위 개념으로 나눌 수 있다. 응력개념은 지보에 걸리는 하중이나 이를 환산한 휨응력을 관리 기준치로 사용하는 방법이며, 변위개념은 터널의 천단 침하나 이를 환산한 천단 변형률, 또는 내공변위, 지중변위, 터널 주변지반의 변위를 바탕으로 안정성을 평가하는 방법이다(Lee et al., 2008). 최근 연구에 의하면 응력개념의 관리기준 보다는 굴착시 지반 변위에 의한 변위개념이 관리기준으로 적용이 용이하며, 보다 정확하고 경제적으로도 유리한 것으로 인식되고 있다(Sakurai, 1997; The British Tunnelling society and The Institution of Civil Engineers, 2004).
변위개념의 관리 기준치로는 내공변위 속도에 의한 방법과 천단침하와 원지반의 일축압축강도의 관계를 이용하여 나타낸 한계변형률에 의한 방법이 있다. 이 중 한계변형률에 의한 방법은 실제 현장단계에서 적용이 용이하며, 원지반의 역학적 물성치에 대한 고려가 가능하여 지하 갱도의 안정성 평가 지표로 널리 적용되고 있다. Sakurai(1998)는 갱도 굴착시공 중 지반이완에 의한 계측 천단변위 및 내공변위로부터 갱도의 지보공법 및 굴착공법을 평가할 수 있는 겉보기 탄성계수에 의한 평가법을 제안하였다. 겉보기 탄성계수에 의한 안정성 평가방법은 지하 갱도 계측시 발생하는 변위의 간단한 계측만으로 원지반의 강도를 고려한 평가가 가능하여, 실제 현장에서 널리 적용될 수 있을 것으로 판단된다.
한계변형률 이론
The British Tunnelling Society and The Institution of Civil Engineers(2004)에서는 최근 새롭게 개정한 Tunnel lining design guide에서 한계변형률 개념을 소개하고 있는데, 이는 Sakurai(1982; 1997)의 개념을 인용한 것으로 그 개념을 요약하면 다음과 같다. 한계변형률(Ɛ0)은 현장에서 채취한 시편의 일축압축시험 결과인 응력-변형률 관계로부터 구해지는데, 일축압축시험으로부터 초기 탄성영역의 거동특성과 파괴시의 일축압축강도를 이용하여 다음 식 (1)과 같이 정의된다. Fig. 1은 한계변형률의 개념도를 나타낸 것인데, 일반적으로 파괴변형률(Ɛf) 보다는 작은 값을 가지게 된다.
(1)
Sakurai(1982)는 파괴변형률이 한계변형률 보다 최대 2.5∼4.0배 정도 더 큰 값을 가진다고 하였다. Fig. 2는 다양한 토질 및 암석에 대한 일축압축강도와 한계변형률의 관계를 나타낸 것이다. 이에 따르면 한계변형률은 일축압축강도의 증가와 함께 감소하는 경향을 보이고 있으며, 이러한 경향은 미고결 모래에서부터 화강암과 같은 경암까지 연속적으로 관찰되었다.
한계변형률 개념은 절대 변위에 기반을 두고 있기 때문에 계측기를 설치하기 이전에 발생하는 선행변위에 대한 충분한 고려가 필수적이다. 또한, 계측변위는 타설 시기, 타설 시간, 타설량 등의 다양한 요인에 의해 영향을 받기도 하므로 이러한 변형특성에 대한 이해가 필요하다. 터널 굴착에 의해 무지보 상태에서 발생하는 변위는
으로 나타나며, 여기서
는 굴착 전 선행변위,
는 계측 전 선행변위, 그리고
은 계측변위를 의미한다. 한계변형률을 이용한 안정성 평가를 위해서는 절대변위인
이 이용되어야 한다.
터널 절대변위를 반경으로 나눈 한계변형률과 한계변형률 그래프의 상, 하한 경계치를 이용하여 Sakurai(1997)는 주의레벨 3단계로 구분한 안정성 평가 기준을 제시하였다. Fig. 3은 한계변형률에 의한 막장의 관리 기준치를 나타낸 것인데, 본 관리 기준의 Level I은 지반이 안정 상태에 있지만 이완영역의 발생한계에 달하기 때문에 굴착에 주의를 요하는 단계이고, Level II는 이완영역이 발생하여 추가 지보시공이 이루어져야 하는 단계이며, Lever III은 안전의 문제와 시공의 곤란이 예상되어 굴착을 정지하고 굴착방법 혹은 지보공법의 변경을 요하는 단계이다.
|
Fig. 2. Uniaxial strength & critical strain of soil type (Sakurai, 1982). |
|
Fig. 3. Valuation criteria using critical strain & compressive strength(Sakurai, 1997). |
겉보기 탄성계수 이론
Sakurai(1998)는 굴착시 발생되는 지하갱도의 변위 계측 값으로 터널 주변 지반의 거시적인 탄성계수를 역계산 하는 방법을 제안하였으며, 이를 겉보기 탄성계수(Apparent Young's Modulus)라고 하였다. 원형터널의 무한탄성 지반을 가정할 경우 터널의 천단 및 내공변위는 다음 식 (2), (3)과 같이 나타낼 수 있다.
(2)
(3)
여기서,
: 터널 천단 침하량(mm)
: 터널 내공 변위량(mm)
: 터널 반경(m)
: 지반의 단위중량(kN/m3)
: 터널 토피고(m)
: 지반의 포아송비
이 중
와
는 지하 갱도의 굴착시 계측에 의해 쉽게 산정할 수 있으며 다음 식 (4), (5)에 의해 지반의 겉보기 탄성계수 물성치를 산정할 수 있다.
(4)

(5)

여기서,
과
은 각각 실제 현장에서 계측된 천단과 내공변위 값을 의미하며,
과
이 같다고 가정하면
은 다음 식 (6)과 같이 구할 수 있다.
(6)
겉보기 탄성계수는 터널의 크기, 지반의 기본 물성치 및 토피고 등을 고려하여 굴착시 변위 계측결과를 통해 대략적인 터널 안정성 평가가 가능한 방법이다. Sakurai(1998)는 실제 계측된 천단 및 내공변위의 역계산을 통해 겉보기 탄성계수를 산정하고 지하갱도 막장의 안정성을 안정, 불안정, 파괴상태 3가지로 고려하였으며, 이 결과를 통해 기준선을 제시하였다. Fig. 4는 겉보기 탄성계수에 의한 안정성 평가 기준을 나타낸 것이다. 그림에서 붕괴(■)와 불안정(▲)한 터널 단면의 경우 불안정과 붕괴 영역에 집중되어 있으며 결과적으로 겉보기 탄성계수와 천단변형률을 이용한 안정성 평가가 타당하다는 것을 알 수 있다.
광산갱도 계측 시스템 구축
계측 계요
광산갱도 계측 현장은 충청북도의 석회석 광산으로 선정하였는데, Fig. 5는 계측 갱도 위치와 지질 현황을 나타낸 것이다. 본 계측 수행구간의 지질구성은 고생대 석탄기의 평안누층군 중 갑산층과 고생대 오르도비스기의 조선누층군 중 영흥층으로 크게 나뉘며 신생대 4기의 충적층이 국부적으로 분포한다. 오르도비스기는 과거 석회암통으로 불리던 층으로 석회암과 규암, 슬레이트, 세일 등을 대표적인 암종으로 볼 수 있으며 석탄기는 사암과 셰일이 대표적인 암종이다.
무지보갱으로 계획된 갱도는 지하 85 m에 위치하며, 스프레이 콘크리트로 보강 계획인 갱도는 지하 110 m에 위치하였는데, 두 갱도의 지반물성 평가를 위하여 암석시편을 채취 후 물성시험을 수행하였다. ASTM C97/ C97M-09(2004)를 준용하여 단위중량, 공극률, 흡수율 등을 산정하였고, ASTM D7012-10(2004)을 준용하여 암반의 일축압축강도, 탄성계수, 포아송비 등을 산정하였다. Table 1은 갱도의 암반 기본물성을 나타낸 것이고, Table 2는 Expressway & Transportation Research Institute (2002)의 암반분류기준을 나타낸 것인데, 두 갱도의 암석물성 시험결과 암질은 일축압축강도가 120 MPa 이상, 탄성계수가 39.61 GPa로 유사하여 두 갱도 모두 경암에 해당될 것으로 판단되었다.
갱도의 크기는 석회석 광산의 표준 채굴갱도의 단면을 고려하여 약 7 m×7 m로 선정하였으며 발파에 의한 전단면 굴착을 수행하였다. 1회 굴진장은 3.5 m로 총 4회 굴착을 실시하여 종방향 14 m의 계측 갱도를 시공하였다. Fig. 6은 계측 갱도 형상과 계측기 설치 위치를 보여주고 있다.
스프레이 콘크리트는 광산 인근 레미콘 공장의 현장배합을 사용하였으며, 타설 두께는 Ministry of Land, Infrastructure, and Transport(2010)의 RMR 분류기준(RMR 61∼80)을 참조하여 100 mm로 계획하였다. 경암의 경우 필요시 국부적인 록볼트 보강 외에 특별한 지보가 필요 없는 것으로 알려져 있지만, 광산 스프레이 콘크리트의 보강 효과를 평가하는 것도 본 연구의 목적 중 하나이기 때문에 스프레이 콘크리트 응력계의 설치가 가능한 최소 두께인 100 mm를 적용하였다.
Table 3은 갱도 보강에 적용한 스프레이 콘크리트의 배합표를 나타낸 것이다. 갱도 보강용 스프레이 콘크리트의 압축강도 시험결과 재령 28일 강도는 30.29 MPa로 나타났으며, 콘크리트 허용응력 기준을 적용하여 허용 휨압축응력(
), 허용 휨인장응력(
), 허용 휨전단응력(
) 등을 산출하였다.
무지보 및 스프레이 콘크리트 보강 갱도의 변위는 내공 및 천단 변위계를 사용하여 측정하였는데, 일반적으로 전단면 굴착시 계측 타겟은 천반, 양측벽 3곳에 설치하지만 본 연구에서는 측정의 정확성을 높이기 위하여 5곳에 계측 타겟을 설치하였다. 스프레이 콘크리트 응력계는 천반과 양측벽에 한 개씩 설치하였고 직사각형 갱도의 응력집중현상을 파악하고자 갱도 천반부 양쪽 모서리 부분에도 설치하였다. Table 4, 5는 변위계 및 스프레이 콘크리트 응력계의 사양을 나타낸 것이고, Fig. 7은 계측단면의 계측기 설치 위치를 나타내었다.
계측 갱도 굴착
계측 갱도의 시공은 점보드릴을 이용한 장약공 천공, 다이너마이트와 화약을 이용한 장약, 전기식 뇌관 연결, 발파 및 버력처리, 1차 스프레이 콘크리트 타설, 2차 스프레이 콘크리트 타설의 순서로 진행되었다. 발파시 Smooth blasting 기법을 사용하여 7.0 m×7.0 m 계획 굴착 폭을 유지할려고 노력하였다. 스프레이 콘크리트 타설 배합은 광산 인근 레미콘 공장에서 일반적으로 생산되는 현장 배합을 사용하였고, 1차 타설시 약 5 cm 두께로 갱도 전면을 보강한 후 스프레이 콘크리트 응력계를 설치하였고, 2차로 약 5 cm 두께로 타설을 실시하였다. 스프레이 콘크리트 타설이 완료된 후 천단 및 내공 변위계를 설치하였다. 갱도 시공 후 초기 발생 변위 및 응력 특성을 검토하기 위하여 초기 한달 간 2회/주의 빈도로 변위 및 응력을 계측하였으며, 이 후 1회/주의 빈도로 계측을 실시하였다. 계측 기간은 변위 및 응력이 수렴되는 경향을 파악하여 조정하였다. Fig. 8은 갱도 굴착 및 계측기 설치 모습을 나타낸 것이다.
|
|
(a) Monitoring instrument place in unsupported mine drift | (b) Monitoring instrument place in supported mine drift |
Fig. 7. Monitoring instrument place in mine drift. | |
광산갱도 계측 결과
갱도 변위 계측
갱도 굴착 시공 후 약 35일간 총 9회에 걸쳐 무지보 갱도와 스프레이 콘크리트 보강갱도의 내공 및 천단변위 계측을 실시하였다. 5개의 타겟을 각각 갱도에 설치한 후 타겟 사이의 상대 변위를 측정함으로써 천단변위와 내공변위를 계측하였다. Fig. 9는 갱도 변위를 계측한 결과를 나타낸 인데, Lateral Disp. 1, 2는 각각 Fig. 7의 우측과 좌측 2개소 측정위치 중에서 최대변위를 나타낸 것이다.
계측 결과 무지보 갱도의 경우 계측 시작점으로부터 최대 내공변위는 약 2.13 mm∼2.64 mm로 나타났으며 천단 침하량은 2.19 mm로 나타났다. 변위는 전반적으로 발파 완료 후 시간이 경과함에 따라 지반 이완이 발생하여 변위가 꾸준히 증가하는 경향을 보였으며, 발파 후 약 25일부터 변위가 수렴하는 경향을 보였다. 천단변위의 경우 상부 토피 하중에 의해 점차 침하가 이루어지다가 25일 이후 수렴해가는 경향을 보였으며, 내공변위의 경우 상부 침하에 의해 갱도의 폭이 소폭 증가하는 경향을 보였다.
스프레이 콘크리트 보강 갱도의 경우 최대 내공변위는 약 1.60 mm∼1.66 mm로 나타났으며 계측기간 내 최대 천단 침하량은 1.26 mm로 나타났다. 변위는 발파 후 꾸준히 증가하다가 스프레이 콘크리트가 양생됨에 따라 점차 줄어들어 발파 후 약 20일부터 수렴하는 경향을 보였다. 갱도 상부 지반하중에 의해 갱도의 천단부 침하가 발생하였으며, 내공 폭도 상대적으로 증가함을 알 수 있었다.
변위 계측결과 보강이 이루어지지 않은 무지보 갱도의 경우 변위가 2 mm 이상으로 스프레이 콘크리트 보강갱도에 비해 계측 초기부터 다소 높게 나타났는데, 이는 스프레이 콘크리트의 조기 급결성에 의해 계측 초기부터 지지효과가 발현되었기 때문으로 예상되며, 갱도 굴착 직후에 타설될 경우 즉시 갱도보강 효과를 발현함으로써 갱도 시공시 효과적으로 안정성 확보가 가능 할 것으로 판단된다. 또한, 스프레이 콘크리트 보강갱도의 경우 지보재인 스프레이 콘크리트의 강도가 발현됨에 따라 무지보갱에 비해 변위의 수렴이 빨리 일어나 보다 일찍 갱도의 안정화가 일어나는 것으로 나타났다.
본 계측 갱도의 경우 암질이 좋고 절리나 연약구간이 없는 경암질의 석회암 광산갱도로서 전반적인 변위 경향이 양호하며, 최대 천단변위가 무지보인 경우 2.19 mm, 스프레이 콘크리트 보강인 경우 1.26 mm로 나타나, 국내외 터널계측 관리기준(Ministry of Land, Infrastructure, and Transport, 2010) 등에서 제시한 기준 변위와 비교 하였을 때 훨씬 못 미치는 결과를 나타내었다. 특히, 櫻井春輔(1986)의 주의레벨 1 이하로 나타나 굴착에 의해 지반 이완영역이 발생하지 않았고, 지반이 매우 안정한 상태로 거동하고 있는 것을 알 수 있었다.
스프레이 콘크리트 응력 계측
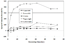
Fig. 10은 스프레이 콘크리트의 반경방향 및 접선방향 응력의 계측결과를 나타낸 것인데, 압축은 (+)값으로, 인장은 (‒)값으로 표시한 것이다. 갱도 굴착 시공 후 53일 동안 총 11회 계측을 수행하였으며, 광산의 석회석 채광을 위해 계측 갱도의 시공완료 45일 후 추가적인 굴진 발파가 실시되었다. 계측결과 반경방향 응력의 경우 시간이 경과함에 따라 점차 응력이 증가하다가 시공완료 20일 이후부터는 수렴하여 거의 변화가 없는 양상을 보였으며, 45일 경과 후 추가 발파시에 응력 변화가 소폭 발생하였다.
반경방향 응력의 경우 오른쪽 하부를 제외한 전체 계측지점에서 응력이 100 kPa 내외로 허용 휨압축응력 12.12 MPa(
)에 훨씬 못 미치지 것으로 나타나 매우 안정한 상태인 것으로 판단되며, 지반이완에 의한 하중이 거의 작용하지 않은 것으로 나타났다. 갱도의 오른쪽 하부의 경우 응력집중으로 인해 다른 계측지점과는 달리 최대 466 kPa의 응력이 발생하였으나, 역시 허용 휨압축응력보다 훨씬 작은 값으로 전반적인 갱도의 안정성에는 영향을 미치지 못할 것으로 판단된다.
접선방향 응력의 경우 반경방향 응력과 동일하게 갱도 시공 직후 응력변화가 발생되다가 시공완료 20일 이후부터 점차 안정되는 경향을 보였으며, 45일 후 굴진 발파의 영향으로 응력이 소폭 변화하는 양상을 보였다. 하지만 전체적으로 응력이 150 kPa 이하로 응력집중에 의한 영향도 미비하여 갱도의 안정성이 충분히 확보되고 있는 것으로 판단된다.
스프레이 콘크리트의 응력 계측결과 계측 기간 최대 발생 응력은 466 kPa로 계측 지점 우측 하부의 반경방향 응력으로 나타났으며, 허용 휨압축응력에는 훨씬 미치지 못하였다. 이는 갱도 막장의 암질과 절리 상태가 양호하여 갱도의 자립도가 높았기 때문으로 판단되며, 갱도가 충분히 안정한 상태에 있다는 것을 보여주고 있다.
모델함수를 이용한 계측 전 변위 및 최종 변위 예측
지하갱도 계측은 굴착이 진행됨에 따라 불안정한 지반상태를 확인하고 이에 대해 대책을 수립하기 위한 평가 수단이며, 지반이 위험한 상태에 이르기 전 적절한 대책을 시행하여야 한다. 즉, 앞으로 발생할지 모르는 위험상황을 예측하고 가능한 초기에 이에 대한 조치를 취함으로써 안전하고 경제적인 시공을 가능케 하여야 한다. 따라서 갱도 안정성 평가를 위해서는 초기 계측 데이터를 이용하여 최종 발생 변위량에 대한 예측이 필요하다.
일반적으로 지하갱도의 변위란 굴착면으로부터 그 후방 벽면의 변위를 말하고, 실제 계측변위는 굴착 후 버력처리, 지보재 설치, 계측기 설치, 계측 수행과정 등의 시공과정에서 측정하지 못한 계측 전 초기 변위를 제외한 값이다. 따라서 보다 정확한 안정성 평가를 위해서는 계측 전 초기 변위에 대한 예측이 필요하다. 하지만 계측 전 변위는 현실적으로 정확한 값을 산정하는 것이 불가능하기 때문에 기존 연구(Kim and Park, 1993; Chung et al., 1993; Junichi et al., 1987; Liu and Wang, 1986)들을 통해 도출된 모델함수를 이용하여 추정하여야 한다. 그러나 국내의 경우 도로터널과 도심 지하철에 대해 근사함수를 이용하여 최종 변위를 예측한 사례는 있으나, 계측된 자료를 이용하여 굴착 초기 변위와 최종 변위를 산정한 사례는 많지 않다(Kim, 1997).
Panet(1979)는 내공변위 예측을 위한 모델함수로서 Table 6과 같은 지수함수 및 분수함수식을 제안하였는데, 굴착시 소성영역이 발달하지 않아 탄성거동을 하는 경암의 경우 지수함수 형태의 변위 발생경향이 나타나며, 굴착시 지반이완에 의해 소성영역이 발달하는 탄소성 지반의 경우 분수함수 형태의 변위 거동을 보이는 것으로 알려져 있다(Panet and Guenot, 1982).
실제 측정된 내공변위를 모델함수에 대해 회귀분석함으로서 함수의 Parameter를 결정할 수 있는데, 이 경우 측정 전 내공변위
를 고려하여야 한다. 즉, 실제 측정된 내공변위
은 식 (7)과 같이 나타낼 수 있다.
(7)
여기서,
: 실제 측정된 내공변위
: 측정 전 내공변위
: 시간
,
: Parameter
본 계측이 수행된 석회암 광산의 암질은 경암이며, 계측결과 변위 및 응력의 양상이 지반이완 및 소성영역이 발생하지 않거나 미소하게 발달하는 것으로 보인다. 따라서 본 계측 갱도의 변위 특성은 지수함수에 의한 변위 형태를 보일 것으로 판단된다. 본 연구에서는 지수함수 형태의 모델함수를 적용하여 계측데이터를 이용한 회귀분석을 통해 계측 전 초기 변위 및 굴착에 의한 최종 변위를 예측하고자 하였다. 발파 후 계측 수행까지는 약 3일의 시간이 소요되었으며, 회귀분석을 통해 3일의 시간에 대한 초기변위를 유추하고 갱도의 최종 수렴 변위를 산정하였다. 지수함수 형태의 모델함수를 이용한 회귀분석 결과는 Fig. 11과 Fig. 12와 같다.
지수함수를 이용한 계측 데이터의 회귀분석 결과 전반적인 표준편차가 0.1 mm 내외로 계측 데이터와 모델함수의 오차가 매우 작게 나타나 지수함수에 의한 변위 예측 방법이 적합한 것으로 판단되었다. 따라서 회귀분석으로 구한 추정식의 parameter인 a와 C0값을 통해 굴착 후 총 변위와 계측 전 초기 변위의 유추가 어느 정도 정확성을 가지는 것으로 판단된다.
지하갱도의 경우 굴착 전에 발생하는 변위
는 암반의 변형특성에 의존하는 것으로 알려져 있으며, 일반적으로 최종변위(
)의 28∼32% 정도로 알려져 있다(Vassilev and Hrisstov, 1988). 본 연구에서는 굴착 전 막장 전방의 변위량을 총 지반 변위의 30%로 가정하고 회귀분석을 통한 모델함수를 이용하여 지반의 총 변위량을 예측하였다.
Table 7은 계측 갱도의 시공 중 최종 변위량의 예측치를 나타낸 것이다. 모델함수에 의해 예측한 결과 무지보 갱도의 천단침하량은 4.633 mm, 내공변위는 5.003∼5.864 mm로 나타났으며 스프레이 콘크리트 보강 갱도의 천단침하량은 4.135 mm, 내공변위는 3.123∼3.292 mm로 나타났다. 무지보 갱도가 스프레이 콘크리트 보강 갱도에 비해 전반적인 변위가 다소 크게 나타났는데, 이는 스프레이 콘크리트 양생 후 지반의 이완을 억제해주는 보강효과가 발휘되었기 때문으로 예상되며 효과적인 보강이 이루어진 것으로 판단된다.
광산갱도 안정성 평가
한계변형률 개념을 이용한 안정성 평가
모델 함수를 통해 추정된 갱도의 최종 변위량에 대한 갱도의 안정성 평가를 위해 한계변형률 개념을 이용한 안정성 평가를 수행하였다. 한계변형률은 지반의 최종 변위를 갱도의 반경 혹은 직경으로 나눈 값으로 지반의 변위뿐만 아니라 갱도의 크기, 지반의 강도를 고려하여 지하갱도의 안정성을 평가하게 되므로 보다 정확한 평가 기준이라고 알려져 있다.
본 연구에서는 기존 문헌과 계측 데이터의 회귀분석을 통해 굴착 전 변위 및 계측 전 변위를 예측였으며, 최종 변위량을 이용해 한계변형률을 산정하였다. Table 8은 갱도의 최종 변위량과 한계변형률을 나타낸 것이다.
Fig. 13은 한계변형률에 의한 관리 기준치에 계측 갱도의 결과를 나타낸 것이다. 한계변형률에 의한 안정성 평가 결과 무지보 갱도의 한계변형률은 0.0633∼0.1173% 범위로 천단변위의 경우 주의레벨 I을 나타났으며, 내공변위의 경우 주의레벨 I 이하로 나타났다. 따라서 전체적으로 갱도의 지반상태는 안정한 것으로 판단되지만 갱도에 국부적으로 지반의 이완영역이 발생하여 추후 굴착 진행시 약간의 주의가 필요할 것으로 판단된다. 하지만 전반적으로 갱도의 안정성에는 크게 영향을 미치지 않을 것으로 보인다.
스프레이 콘크리트 보강 갱도의 경우 한계변형률이 0.0395∼0.1047% 범위로 나타나 주의레벨 I이하 혹은 그 경계선에 위치하여, 굴착 진행시 지반의 이완영역이 작고 소성영역의 발달이 없어 탄성거동을 하는 것으로 판단되며 매우 안정한 상태인 것으로 예상된다. 특히, 스프레이 콘크리트의 지지 효과가 발현되어 무지보 갱도에 비해 지반의 이완에 의한 소성영역의 발달이 감소하는 것을 확인할 수 있었으며 보다 안정적인 거동을 보이는 것으로 나타났다.
겉보기 탄성계수 산정을 통한 안정성 평가
Table 9, Fig. 14는 겉보기 탄성계수에 의한 안정성 평가 기준에 계측 갱도의 결과를 나타낸 것이다. 계측 갱도의 내공변위 및 천단변위를 이용하여 겉보기 탄성계수를 산정한 결과 무지보 갱도의 경우 2229.9 MPa, 스프레이 콘크리트 보강 갱도의 경우 3452.0 MPa로 나타나, 스프레이 콘크리트의 지보효과에 의해 갱도의 겉보기 탄성계수가 증가하는 효과를 확인할 수 있었다. 또한, 스프레이 콘크리트 보강 갱도의 경우 무지보 갱도에 비해 약 50% 이상 갱도 보강 효율이 높은 것으로 평가되었다.
굴착 갱도의 원지반이 암질이 매우 우수한 경암으로 스프레이 콘크리트 보강에 의해 원지반 탄성계수의 상승효과는 나타나지 않았는데, 이는 원지반의 탄성계수가 스프레이 콘크리트의 탄성계수보다 높기 때문인 것으로 판단된다. 하지만 무지보 갱도와 비교할 때 지반 이완을 억제하여 겉보기 탄성계수의 감소를 억제하는 효과를 확인할 수 있었으며, 암질이 불량한 광산갱도에 적용시 갱도 보강효과를 충분히 얻을 수 있을 것으로 예상된다.
결 론
본 연구에서는 스프레이 콘크리트의 보강효과를 평가하기 위해 광산갱도에서 굴착에 따른 변위 및 스프레이 콘크리트의 응력을 계측하였고, 무지보 및 보강 갱도에서의 안정성을 평가하였다. 또한, 기존 연구를 활용하여 갱도의 최종변위를 예측하고, 일축압축강도를 고려한 한계변형률 및 겉보기 탄성계수 개념을 도입하여 스프레이 콘크리트의 지보 효과를 평가하였다. 본 연구의 결론을 요약하면 다음과 같다.
1.암질이 유사하고 크기가 같은 무지보 및 스프레이 콘크리트 보강 갱도의 변위 계측결과, 무지보 갱도의 경우 천단침하량이 2.19 mm, 내공변위가 2.13∼2.64 mm로 나타났으며 계측 후 약 25일부터 변위가 수렴하는 경향을 보였다. 스프레이 콘크리트 보강갱도의 경우 천단침하량이 1.26 mm, 내공변위가 1.60∼1.66 mm로 나타났으며 계측 후 약 20일부터 수렴하는 경향을 보여 스프레이 콘크리트의 강도가 발현됨에 따라 갱도의 안정화가 빨리 일어나는 것으로 나타났다.
2.보강 갱도의 스프레이 콘크리트 응력 계측결과 계측기간 최대응력은 갱도 우측 하부에서 발생하였으며 최대 466 kPa로 나타났는데, 이는 스프레이 콘크리트 허용 휨압축응력인 12.12 MPa에 훨씬 못 미치는 값으로 지반 상태가 양호하여 이완 하중의 크기가 매우 작게 발생하였다. 스프레이 콘크리트 응력의 경우 지반 변위가 수렴하는 계측 후 20일부터 수렴하다가, 계측 후 45일에 추가 발파 실시 후 소폭 상승하는 경향을 나타내었다.
3.갱도 계측 결과를 바탕으로 기존 연구를 통해 제안된 모델함수의 회귀분석을 통해 계측 전 변위 및 최종 변위량을 예측하였다. 회귀분석 결과 표준편차가 0.1 mm 이내로 나타나 모델함수의 적용이 적합하다고 판단되며, 천단변위 및 내공변위의 예측이 비교적 정확하게 이루어진 것으로 예상된다.
4.굴착 전 변위를 최종 변위량의 30%로 가정하고 회귀분석을 통한 모델함수를 이용하여 최종 변위량을 예측하였는데, 무지보 갱도의 경우 천단침하 4.633 mm, 내공변위 5.003∼5.864 mm, 스프레이 콘크리트 보강 갱도의 경우 천단침하 4.135 mm, 내공변위 3.123∼3.292 mm로 나타나, 무지보 갱도가 스프레이 콘크리트 보강 갱도에 비해 전반적인 변위가 다소 크게 나타났으며, 이는 스프레이 콘크리트 양생 후 지반 이완을 억제해주는 보강효과가 발휘되었기 때문으로 판단된다.
5.갱도의 최종변위량을 이용한 한계변형률 산정 결과 무지보 갱도의 한계변형률은 0.0633∼0.1173% 범위로, 천단변위의 경우 주의레벨Ⅰ로 국부적으로 지반의 이완영역이 발생하여 굴착시 약간의 주의가 필요할 것으로 판단되었다. 반면, 스프레이 콘크리트 보강 갱도의 한계변형률은 0.0395∼0.1047% 범위로 주의레벨 Ⅰ이하 혹은, 그 경계선에 위치하여 굴착시 지반의 이완영역이 작고 소성영역의 발달이 없어 안정한 상태인 것으로 평가 되었다.
6.계측 갱도의 내공변위 및 천단변위를 이용하여 겉보기 탄성계수를 산정한 결과 무지보 갱도는 2229.9 MPa, 스프레이 콘크리트 보강 갱도는 3452.0 MPa로 나타나, 스프레이 콘크리트의 지보효과에 의해 갱도의 겉보기 탄성계수가 증가하는 효과를 확인할 수 있었다. 또한, 스프레이 콘크리트 보강 갱도의 경우 무지보 갱도에 비해 약 50% 이상 갱도 보강 효율이 높은 것으로 평가되었다.































, X

, X, T, m



)
)
)
)
)
=
+
,
=
+ 


