서 론
CCS는 탄소중립 달성의 핵심 수단으로 주목받고 있으나, 실제 도입 가능성을 판단하기 위해서는 단일 비용 값이 아니라 비용의 변동성과 불확실성을 함께 반영한 평가가 필요하다. Global CCS Institute(2025b)에 따르면 2025년 7월 기준 전 세계 상업용 CCS 프로젝트는 총 734개로 집계되며, 이 중 77개가 운영, 47개가 건설, 297개가 개발, 313개가 개발 초기 단계에 있다. 현재 운영 중인 시설의 연간 CO2 포집 용량은 64 Mtpa이고, 건설·개발 단계를 포함한 잠재 포집 용량은 513 Mtpa에 이른다. 프로젝트 수와 규모가 빠르게 확대되는 반면, 프로젝트별 비용 구조와 변동성에 대한 정량적 근거는 여전히 제한적이어서 초기 단계 경제성 평가에서 불확실성이 크게 남는다. 특히 국내는 대규모 상업적 저장소 확보가 제한적이므로 해외 저장소 활용 가능성이 높고, 이에 따라 수송 거리·방식에 따른 비용 불확실성이 사업 기획 단계의 핵심 의사결정 변수로 작동한다. 그럼에도 국내 CCS 비용 추정 및 경제성 논의는 대체로 결정론적 시나리오에 기반한 평균 비용 제시에 머무르는 경우가 많다.
선행연구들은 CCS 비용의 불확실성이 의사결정에 미치는 영향을 지적해 왔으나, 포집 공정-수송 거리·방식-저장소 유형을 하나의 구성 가능한(value-chain configurable) 체계로 결합해 확률분포 기반으로 총비용을 평가한 연구는 여전히 제한적이다. Van der Spek et al.(2020)은 단일 결정론적 비용 값이 투자 판단을 왜곡할 수 있음을 비판적으로 정리하였고, Schmelz et al.(2020)은 특정 지역·경로를 가정한 상태에서 단계별 최소-최대-대표 비용 범위를 제시하였다. 다만 이들 연구는 비용 변동을 범위 또는 민감도로 다루는 데 그쳐, 단계별 비용의 확률분포를 명시하고 이를 결합해 총비용 분포(예: P10-P90)를 산출하는 형태로 확장되지는 않았다. Han et al.(2025)은 공정·수송·저장 옵션을 고정한 뒤 유량, 압력, 온도, 관경 등 설계변수의 영향도를 분석하였으며, Malz et al.(2025)은 국가 차원의 시나리오·정책 리스크를 고려한 분석을 수행하였다. 그러나 저장소 접근성이 불확실하고 수송 조건이 프로젝트마다 크게 달라지는 환경에서는, 초기 기획 단계에서 어떤 포집원-어떤 수송-어떤 저장소 조합이 비용 분포 측면에서 유리한가를 직접 비교할 수 있는 모듈형 확률론적 비용 벤치마크가 요구된다. IEAGHG(2021) 등은 몬테카를로 기반 접근이 평균 비용뿐 아니라 극단 위험(상·하위 분위)까지 함께 제시할 수 있음을 강조한 바 있으며, 이는 불확실성이 큰 CCS 사업의 예산·투자 의사결정에 특히 유용하다.
이에 본 연구는 CCS 가치사슬(포집-수송-저장) 각 단계의 단위비용을 단일 값이 아닌 확률분포로 정식화하고, 단계별 분포를 몬테카를로 시뮬레이션으로 결합하여 프로젝트 총 CCS 비용의 기대값과 분위수(P10, P50, P90) 기반 불확실성 지표를 함께 산정하는 분석 틀을 제안한다. 구체적으로 포집 비용은 산업 부문(정유, 시멘트, 철강, 수소, 천연가스)별로, 수송 비용은 수송 방식(선박, 수송관)별 단위거리 비용(USD/tCO2/km)으로 정규화해 수송 거리 변수와 결합 가능하도록, 저장 비용은 지질 저장소 유형(폐유·가스전, 대염수층)별로 구분한다. 또한 문헌에 혼재하는 단일값·구간값 비용 자료는 상징적 자료 분석(symbolic data analysis)의 구간형 관측치 개념을 차용해 관측치 단위 영향력이 과도하게 커지지 않도록 통계화한 뒤, 적합 분포를 선정하여 입력 분포로 사용한다. 이를 통해 저장소 위치가 확정되지 않았거나 장거리 수송이 불가피한 조건에서도, 제한된 초기 정보(포집원 특성, 수송 방식·거리, 저장소 유형)만으로 대안 구성 간 비용 분포를 비교할 수 있는 실무적 벤치마크를 제공하고자 한다.
연구 방법
자료 수집 및 통계화
본 연구는 CCS 비용을 확률분포로 추정하기 위한 입력자료를 구축하기 위해, 문헌·보고서에 산재한 비용 정보를 가치사슬 단계 및 옵션별로 재분류하였다. 포집 비용은 산업 부문(정유, 시멘트, 철강, 수소, 천연가스)별로 구분하고, 수송 비용은 수송 방식(선박, 수송관) 및 거리 조건의 이질성을 반영할 수 있도록 단위거리 비용(USD/tCO2/km)으로 정규화하여 정리하였다. 저장 비용은 저장소 지질 유형(폐유·가스전, 대염수층)별로 분류하였다. 다만 문헌마다 정의 범위가 상이하고 불확실성이 큰 포집 이후의 세부 공정(압축·탈수, 수송 전·후 버퍼/임시 저장 등)은 비용 경계 설정의 일관성을 확보하기 위해 분석 범위에서 제외하였다. 비용 자료는 국제에너지기구(International Energy Agency, IEA) 등 공신력 있는 기관 보고서와 학술논문을 중심으로 수집하였으며, 비용모형 기반 추정치와 실제 프로젝트 운영·추정 비용을 함께 포함하여 초기 기획 단계에서 활용 가능한 실증과 모형이 혼합된 벤치마크를 지향하였다.
자료 수집 결과, 포집 비용 자료는 107건(Badgett et al., 2024; Fetisov et al., 2023; Global CCS Institute, 2021, 2025a, 2025b; Hägg et al., 2017; IEA, 2019, 2020a, 2025; IEAGHG, 2017, 2018, 2019a, 2019b, 2025a; Martinez et al., 2024; Nelson et al., 2017; NETL, 2023, 2024), 수송 비용 자료는 97건(Global CCS Institute, 2021, 2025a; IEA, 2020b, 2020c; IEAGHG, 2020, 2021, 2025b; Rubin et al., 2015), 저장 비용 자료는 29건(Global CCS Institute, 2021; IEAGHG, 2021, 2025b; Rodriguez Calzado et al., 2024; Roussanaly and Grimstaed, 2014)으로 구축되었다. 여기서 ‘건’은 문헌 또는 프로젝트가 제시한 개별 비용 값(단일값 또는 구간값)을 의미하며, 동일 문헌에서 서로 다른 조건(공정, 거리, 저장소 유형)에 대해 복수의 비용이 제시된 경우 각 값을 독립 관측치로 분리하여 데이터의 대표성과 분포 추정의 안정성을 확보하였다.
문헌 조사로 문헌 조사를 토대로 수집된 CCS 비용 자료는 단일값뿐 아니라 최솟값·최댓값, 또는 최솟값·중앙값·최댓값과 같은 구간형 정보가 혼재되어 있었다. 이에 본 연구는 Billard and Diday(2003)가 제안한 상징적 데이터 분석의 구간형 변수(interval-valued variable) 및 상징적 관측치(symbolic description) 개념을 차용함으로써, 전체 비용 분포를 구성 시 특정 연구나 프로젝트가 확률분포를 지배하지 않도록 관측치 단위의 영향력이 균등하도록 처리하였다. 구체적으로 구간형 변수인 경우 각 관측치마다 몬테카를로 방식으로 100개의 가상 관측치(pseudo-observation)를 생성하였다. (1) 최솟값, 중앙값, 최댓값이 제시된 경우에는 해당 세 값을 모수로 하는 삼각분포를 가정하였다. (2) 최솟값과 최댓값만 제시된 구간형 자료는 해당 구간의 균등분포로 가정하였다. (3) 단일 값만 제시된 경우에는 해당 값을 하나의 관측치로 취급하였다. 삼각분포 및 균등분포의 경우, 관측치별 생성 표본에는 동일 가중치 0.01을 부여하여 관측치 단위의 총 가중치가 동일하도록 구성하였다. 이는 Billard and Diday(2003)가 제안한 가상 확장(virtual extension) 개념을 확률적 샘플링으로 근사 구현한 것이다.
또한 앞서 구축한 비용 자료의 비교 가능성을 확보하기 위해, 서로 다른 화폐 단위와 기준 연도를 갖는 비용 값을 동일한 기준으로 전처리하였다. 구체적으로 비용 자료에는 USD, EUR, CAD가 혼재되어 있었으므로, 환율을 통일하기 위해 EUR은 Federal Reserve Bank of St. Louis(2026)에서 제공하는 연평균 환율을, CAD는 Bank of Canada(2026)의 연평균 환율을 활용하여 모두 USD 기준으로 환산하였다. 이때 환율은 각 비용 자료가 발간된 연도를 기준으로 한 연평균 값을 적용하였다. 더 나아가 수집된 비용 자료의 발간 연도가 2014년부터 2025년까지 다양하다는 점을 고려하여, 물가 수준의 차이를 보정하기 위해 U.S. Bureau of Labor Statistics(2026)가 제공하는 미국 생산자물가지수를 연평균하여 모든 비용을 2025년 기준 USD로 환산하였다. 이러한 환율 및 물가 전처리를 적용한 결과, 전처리 이전의 명목 비용에 비해 전체 비용 수준은 평균적으로 약 15% 상승하는 것으로 나타났다.
이와 같이 전처리된 가중 경험분포(가상 관측치 집합)는 CCS 비용이 0 이상의 값을 가지며 대체로 우측으로 긴 꼬리(비대칭성)를 보일 수 있다는 점을 고려하여, 로그정규·감마·와이블·베타 분포를 후보로 설정하고 최대우도추정(Maximum Likelihood Estimation, MLE)으로 분포 모수를 추정하였다. 분포 적합도는 관측 히스토그램과 후보 분포 간 오차를 기반으로 제곱오차합(Sum of Squares for Errors, SSE)을 주 지표로 사용하고, 평균제곱근오차(Root Mean Squared Error, RMSE)를 보조 지표로 산출하여 비교하였다. 최종적으로 SSE가 최소인 분포를 CCS 단계별 입력 분포로 채택한 뒤, 해당 분포에서 10,000회 몬테카를로 시뮬레이션을 수행하여 평균과 분위수(P10, P50, P90)를 도출하였으며, 이를 총 CCS 비용 분석의 입력으로 활용하였다. 총 CCS 비용은 포집 비용, 수송 비용, 저장 비용의 합으로 정의하였다.
연구 결과
포집 비용 분포 결과
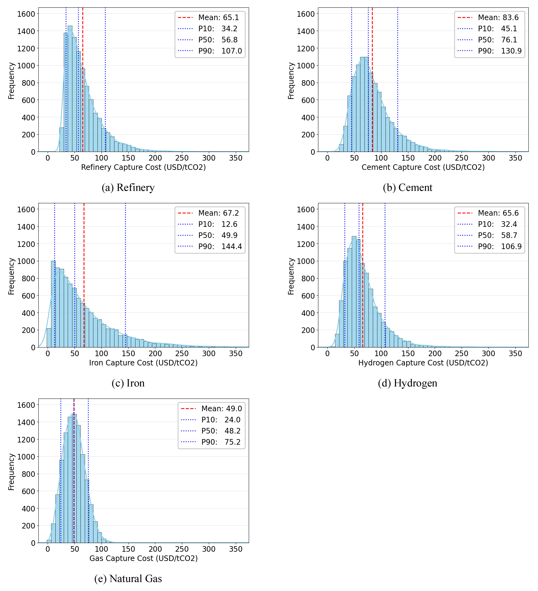
Fig. 1은 산업 부문별 CO2 포집 비용 자료(부문별 15–31건)를 가상 확장하여 구성한 문헌 기반 경험 분포(가중 히스토그램)와, 후보 분포(로그정규·감마·와이블·베타) 중 SSE가 최소인 최적 적합 분포(입력 분포)를 함께 비교한 결과이다. 분포 적합 결과 정유는 감마 분포(SSE=0.007677), 시멘트는 로그정규 분포(SSE=0.003685), 철강은 베타 분포(SSE=0.002382), 수소는 로그정규 분포(SSE=0.004529), 천연가스 공정은 와이블 분포(SSE=0.007476)가 각각 최적 분포로 도출되었다. 이후 단계별 불확실성 전파(몬테카를로 시뮬레이션)에서는 위 최적 분포를 산업 부문별 포집 비용의 입력 확률분포로 사용하였다.
다만 가스 공정의 경우, 수집된 문헌 자료에 LNG 액화공정 포함 여부와 배출원 CO2 농도(고농도/저농도) 특성이 함께 혼재되어 있어 분포 형태의 불확실성이 다른 산업 대비 크게 나타났다. 구체적으로 가스 공정에는 산성 가스 제거(acid gas removal)와 같이 전처리 단계에서 고농도 CO2를 제거하는 공정뿐 아니라, 액화공정 내 연소 설비 또는 후단 공정에서 발생하는 저농도 CO2 배출원이 동시에 포함된다. 이러한 배출원 및 공정 특성의 이질성은 단일한 배출 특성을 전제로 한 분포 적합을 어렵게 하며, 그 결과 가스 공정 비용 히스토그램이 다른 산업 부문에 비해 비정형적으로 도출되는 경향을 보인다. 따라서 가스 공정 입력 분포는 가스 산업 전반의 평균적 CCS 포집 비용 범위를 나타내는 참고값으로 해석하되, 실제 적용 시에는 대상 프로젝트의 배출원을 구분해 해석하는 것이 바람직하다.
Fig. 2는 Fig. 1에서 선정된 산업별 입력 분포를 바탕으로 10,000회 몬테카를로 시뮬레이션을 수행해 얻은 포집 비용의 시뮬레이션 기반 추정 분포를 제시한다. 추정 결과 평균(및 P10-P50-P90)은 가스 49.0(24.0-48.2-75.2), 정유 65.1(34.2-56.8-107.0), 수소 65.6(32.4-58.7-106.9), 철강 67.2(12.6-49.9-144.4), 시멘트 83.6(45.1-76.1-130.9) USD/tCO2로 도출되었다. 전반적으로 CO2 농도가 높고 공정 특성이 단순한 배출원일수록 포집 비용이 낮아지는 경향이 확인되며, 이는 동일 포집량 기준에서 분리·정제에 요구되는 에너지 및 설비 규모가 상대적으로 작아지기 때문으로 해석할 수 있다. 반면 철강·시멘트처럼 저농도·대유량 배출원을 포함하는 부문은 분포의 우측 꼬리가 길고(P90이 큼), 초기 기획 단계에서 평균값만을 근거로 경제성을 판단할 경우 상방 비용 리스크를 체계적으로 과소평가할 수 있음을 시사한다. 이상의 산업 부문별로 추정된 비용 확률분포의 종류와 해당 분포의 모수는 Table 1에 정리하였다.
Table 1.
Selected probability distributions and parameters by industrial sectors
수송 비용 분포 결과
CO2 수송 단계의 비용은 수송 방식(선박, 수송관)과 수송 거리 조건에 의해 크게 좌우되므로, 서로 다른 거리·경로 조건에서 보고된 문헌 비용을 그대로 비교하면 비용 수준과 분산이 왜곡될 수 있다. 이에 본 연구는 거리 조건의 이질성을 제거하고 모듈형 결합이 가능하도록, 수송 비용을 단위거리 비용(USD/tCO2/km)으로 정규화하여 Fig. 3에 히스토그램과 사전 확률 분포 형태로 제시하였다. 정규화된 자료는 선박 수송 38건, 수송관 수송 59건의 관측치로 구성되며, 이후 총비용 산정 시에는 이 단위거리 비용에 프로젝트별 수송거리(km)를 결합하여 총 수송비(USD/tCO2)를 산출할 수 있도록 설계하였다.
분포 적합 결과, 선박 및 수송관의 단위거리 비용(USD/tCO2/km)은 모두 로그정규 분포가 최적 분포로 도출되었으며, 히스토그램 기반 SSE는 선박 237.518, 수송관 150.332로 나타났다(Fig. 3). 다만 단위거리 비용은 절대값이 매우 작은 수준(USD/tCO2/km)에서 관측되므로, 히스토그램의 구간 설정과 극단치에 따라 SSE가 민감하게 커질 수 있다. 또한 문헌 자료에는 해상/육상 여부, 지형·해저 조건, 기존 인프라 활용 가능성, 설계 압력·관경·유량(규모), 터미널 접속 및 부대설비 비용 포함 여부 등이 서로 다른 전제조건으로 혼재되어 있어 자료의 이질성이 본질적으로 크다. 따라서 본 연구에서 제시한 SSE 값은 적합도가 낮다기보다, 후보 분포들 간 상대 비교 기준으로서 베타 분포가 가장 적합함을 보여주면서도, 수송 비용이 조건 의존적이며 변동성이 큰 단계임을 정량적으로 반영하는 지표로 해석할 수 있다.
선정된 입력 분포를 바탕으로 10,000회 몬테카를로 시뮬레이션을 수행한 결과는 Fig. 4에 제시하였다. 단위거리 비용(USD/tCO2/km)의 추정 분포에서 평균(및 P10-P50-P90)은 선박 수송 0.0460(0.0056-0.0242-0.1034), 수송관 수송 0.0634(0.0149-0.0416-0.1319)으로 도출되어, 단위거리 기준에서는 수송관이 선박보다 높은 비용 수준을 보였다. 이는 수송관 수송이 초기 설비 투자비 부담이 상대적으로 크기 때문으로 해석할 수 있다. 다만 수송관의 단위비용은 유량(수송량) 증가에 따라 낮아지는 규모의 경제가 보고 되어 왔으므로, 연간 포집·수송량이 충분히 큰 프로젝트에서는 수송 방식 간 비용 우위가 달라질 수 있다. 본 연구의 총비용 결합 구조에서는 사용자가 입력한 수송거리(km)에 대해 시뮬레이션으로 산출된 단위거리 비용(USD/tCO2/km)을 곱해 총 수송비(USD/tCO2)를 계산하도록 설계함으로써, 저장소 위치가 확정되지 않은 초기 단계에서도 거리 변화에 따른 총비용 분포(P10-P90)의 민감도를 직접 비교할 수 있도록 하였다. 이상의 수송 방식별로 추정된 비용 확률분포의 종류와 해당 분포의 모수는 Table 2에 정리하였다.
Table 2.
Selected probability distributions and parameters by transport options
| Transport option | Selected distribution | Parameters |
| Ship | Log-normal | shape = 0.9431, loc = 0.00377, scale = 0.038 |
| Pipeline | Log-normal | shape = 1.1240, loc = 0, scale = 0.02452 |
저장 비용 분포 결과
저장 단계의 비용은 저장소의 지질·개발 조건(지질 구조, 주입성, 탐사·특성화 수준, 기존 시추 인프라 활용 가능성 등)에 의해 크게 달라진다. 본 연구는 문헌에서 수집한 저장 비용 자료를 저장소 지질 유형에 따라 폐유·가스전과 대염수층으로 구분하고, Fig. 5에 각 유형별 문헌 기반 경험분포를 제시하였다. 저장 비용은 폐유·가스전 15건, 대염수층 14건의 관측치를 확보하였으며, 분포 적합 결과 폐유·가스전은 베타 분포(SSE=0.069397), 대염수층은 감마 분포(SSE=0.056939)가 각각 SSE 최소 기준으로 최적 분포로 선정되었다.
Fig. 6은 Fig. 5에서 선정된 저장 비용 입력 분포를 기반으로 10,000회 몬테카를로 시뮬레이션을 수행해 도출한 저장 비용 추정 분포를 나타낸다. 분석 결과, 폐유·가스전 저장의 평균 비용은 8.4 USD/tCO2 (P10 4.1, P50 7.7, P90 13.8 USD/tCO2)로 추정되었고, 대염수층 저장은 평균 12.0 USD/tCO2 (P10 4.2, P50 10.4, P90 21.9 USD/tCO2)로 상대적으로 높은 수준과 더 긴 우측 꼬리를 보였다. 이는 폐유·가스전이 기존 탐사 자료와 시추 인프라를 활용할 여지가 커 초기 탐사·개발 부담이 낮아지는 반면, 대염수층은 지질 정보의 불확실성과 추가 탐사·특성화 작업 필요성이 상대적으로 크기 때문으로 해석할 수 있다. 특히 동일 평균 수준만 비교하면 저장 단계의 차이가 작아 보일 수 있으나, P90 기준으로는 대염수층의 상방 위험이 크게 확대되므로 초기 기획·예산 단계에서는 저장소 유형 선택을 평균 비용이 아니라 비용 분포 관점에서 함께 평가하는 것이 적합할 수 있다. 이상의 저장소 유형별로 추정된 비용 확률분포의 종류와 해당 분포의 모수는 Table 3에 정리하였다.
Table 3.
Selected probability distributions and parameters by storage types
| Geological type | Selected distribution | Parameters |
| Depleted oil and gas field | Beta | a=2.8340, b=79.9797, loc=1.6499, scale=198.2673 |
| Saline aquifer | Gamma | shape=2.2368, loc=1.0292, scale=4.8802 |
CCS 프로젝트 적용 사례
앞서 도출한 단계별 비용 확률분포를 CCS 프로젝트 구성에 결합하여, 총 CCS 비용의 분포(평균 및 P10, P50, P90)를 산정하는 적용 사례를 제시하였다. 사례 대상은 포집원-수송 방식-수송 거리-저장소 유형 및 위치 정보가 공개되어 분석 입력을 비교적 명확히 설정할 수 있으며, 동시에 국내 기업이 참여 중인 해외 CCS 프로젝트를 참고하여 설정하였다. 구체적으로, 호주 소재 천연가스전에서 생산한 천연가스로부터 CO2를 포집한 뒤, 천연가스는 LNG로 변환하고, CO2는 약 500 km 길이의 수송관을 통해 이송하여 해상 폐유·가스전에 주입·저장하는 가치사슬 구조로 사례를 정의하였다.
다만 본 사례의 포집 단계는 문헌상 구간형(범위) 비용 자료보다 단일값 형태의 비용 정보 비중이 높아, 앞 절의 자료 전처리와 분포 적합만으로 포집 비용의 불확실성을 충분히 반영하기 어렵다는 한계가 있었다. 이에 사례 분석에서는 포집 비용을 확률변수로 샘플링하기보다, IEAGHG(2019a)가 제시한 배기가스 연소 후 포집(post-combustion capture) 기본 사례 비용 54.51 USD/tCO2를 대표값으로 고정 적용하였다. 반면 수송 및 저장 비용은 본 연구에서 구축한 단위거리 수송비(USD/tCO2/km) 분포와 저장 비용 분포를 그대로 적용하여 10,000회 몬테카를로 시뮬레이션을 수행함으로써, 본 사례에서 총비용 변동성의 핵심 원천인 수송·저장 조건 불확실성을 정량화하였다.
시뮬레이션 결과, 본 사례 CCS 프로젝트의 총 단위비용(=포집 고정값 + 수송·저장 확률변수 결합)은 평균 94.78 USD/tCO2, 표준편차 36.46 USD/tCO2, P10 69.66 USD/tCO2, P50 84.33 USD/tCO2, P90 129.81 USD/tCO2로 추정되었다(Fig. 7). 또한 연간 CO2 감축 목표량을 약 182만 톤으로 가정하면(IEEFA, 2021), 연간 총비용은 단위비용 평균값을 기준으로 약 1.7억 USD 수준이며, 환율을 1 USD = 1,400원으로 가정할 경우 약 2,380억 원으로 환산된다. 다만 이 환산치는 단위비용 × 연간 감축량의 단순 추정으로, 사업 기간·할인율에 따른 설비 투자 비용의 연간화 방식, 가동률, 단계별 비용 경계(포집/압축/수송/저장 포함 범위) 등에 따라 실제 연간 현금흐름과는 차이가 발생할 수 있으므로, 본 연구에서는 총비용 분포(P10-P90)가 제시하는 불확실성 폭 자체를 초기 기획 단계의 핵심 의사결정 정보로 해석하는 것이 적합할 수 있다.
결 론
본 연구는 문헌과 보고서에 분산되어 제시된 CCS 비용 자료를 포집-수송-저장 단계로 재구성하고, 각 단계의 단위비용을 단일 값이 아닌 확률분포로 정식화함으로써 CCS 경제성 평가에 비용 불확실성을 정량적으로 반영할 수 있는 분석 틀을 제안하였다. 특히 구간값·단일값이 혼재된 비용 자료를 상징적 데이터 분석의 구간형 관측치 개념에 따라 가상 관측치로 확장하고, 후보 분포 적합을 통해 단계·옵션별 입력 분포를 구축한 뒤 몬테카를로 시뮬레이션으로 평균과 분위수(P10, P50, P90)를 산출하였다. 또한 수송 비용을 거리 정규화 단위비용(USD/tCO2/km)으로 제시하여 프로젝트별 수송거리와 결합 가능하도록 설계함으로써, 저장소 위치가 미확정이거나 장거리·해외 저장을 고려해야 하는 초기 기획 단계에서도 동일 기준에서 총비용의 수준과 변동 범위를 비교·평가할 수 있는 방법을 제시하였다.
제안한 접근은 프로젝트 구조가 확정되기 이전 단계에서 포집원 유형, 수송 방식 및 거리, 저장소 유형과 같은 제한된 정보만으로도 총 CCS 비용의 평균 수준과 변동 범위(P10-P90)를 동시에 제시할 수 있다. 즉 평균 비용 중심의 단일 시나리오 비교를 넘어, 동일 조건에서 비용 상방 리스크가 얼마나 큰지를 정량적으로 비교할 수 있어 기업의 기획·설계 단계 의사결정 지원 도구로 활용될 수 있다. 또한 국내 기업이 참여 중인 호주 CCS 사례에 적용하여 총비용 분포를 산정함으로써, 평균값만으로는 파악하기 어려운 불확실성 폭(분위수 기반 리스크)이 실제 프로젝트 평가에서 유의미한 정보가 될 수 있음을 확인하였다.
다만 본 연구는 포집 단계 자료의 불균형이라는 한계를 가진다. 특히 가스 공정의 경우, 분포 적합만으로 포집 비용 불확실성을 충분히 반영하기 어려움에 따라 포집 비용을 확률변수로 취급하지 않고 문헌 대표값을 고정값으로 사용하였다. 이는 결과 해석 시 중요한 제약 조건이며, 향후 실제 프로젝트 운영 자료와 공정별 조건(농도, 압력, 에너지원, 회수율 등)이 축적될 경우 포집 단계 또한 동일 절차로 확률분포화하여 전 단계 불확실성 전파가 가능하도록 확장할 필요가 있다. 또한 본 연구는 비용 비교의 범용성과 결합 가능성을 높이기 위해 단위비용 기반(USD/tCO2 또는 USD/tCO2/km) 접근을 채택하였으나, 그 결과 규모의 경제를 명시적 함수 형태로 일반화해 반영하지는 않았다. 예컨대 장거리에서는 선박이, 대규모에서는 수송관이 유리하다는 논의가 존재하더라도, 본 연구의 단위비용 분포는 이러한 임계조건을 직접 내재화하지는 않는다. 향후에는 (i) 유량(수송량)·거리·압력·관경 등 설계변수와 단위비용을 연결하는 추가 자료 확충, (ii) 조건부 분포(예: 유량 구간별 분포) 또는 계층모형 형태의 모형화 등을 통해, 규모 효과까지 포함하는 확률론적 가치사슬 비용 모델로 고도화하는 연구가 요구된다.
그럼에도 본 연구는 자료 희소성과 이질성이 큰 CCS 비용 분석 분야에서, 문헌 기반 비용 정보를 확률분포로 체계화하고 몬테카를로 시뮬레이션을 통해 총비용의 분포를 도출하는 재현 가능한 절차를 제시하였다. 본 분석 틀은 향후 기업의 CCS 프로젝트 후보지·경로·저장소 대안 비교뿐 아니라, 정책 및 투자 의사결정을 위한 불확실성 포함 비용 벤치마크로 활용될 수 있을 것으로 기대된다.









