서 론
이산화탄소의 지중 저장
셰일 저류층에서의 CO2 치환 및 저장 연구
흡착 메커니즘 및 물성 특성 평가
균열 흡착에 따른 유체 거동 시뮬레이션
데이터 기반 최적화 및 경제성 평가
치밀 저류층에서의 회수증진 및 CO2 지중 저장 연구
CO2-EOR/EGR에 따른 유체 거동 및 평가 연구
CO2 포획 기작 및 장기 안정성 평가
석탄층에서 CO2를 활용한 ECBM 및 지중 저장 연구
흡착 메커니즘 및 미세 구조적 특성 파악
주입 가스 조성 및 운영 조건 최적화
현장 규모 평가 및 데이터 기반 모델링
결론 및 향후 연구 방향 제언
서 론
이산화탄소(CO2) 등의 온실가스가 대기 중에 지속적으로 축적되면서 농도가 상승하고 이에 따라 지구온난화가 가속화되고 있다. 전 세계 CO2 배출량은 COVID 팬데믹 이후 글로벌 탄소 배출량이 다시 반등하며 상승세를 보이고 있으나, 배출 증가율은 타 에너지원의 영향으로 과거 대비 둔화되고 있다(IEA, 2025). 이에 탄소배출 저감을 위한 효과적인 대응 방안이 필요한 실정이다.
온실가스 감축을 위한 대부분의 노력은 저탄소 재생에너지 중심의 에너지 전략을 강화하는데 중점을 두고 있으나, 에너지 전환(energy transition)의 과도기적 단계에서 실질적인 감축 기여도가 높은 핵심 기술로서 CCUS(Carbon Capture, Utilization, and Storage)의 중요성이 증대되고 있다. 특히 지중에 주입 및 저장하는 탄소격리(carbon sequestration) 혹은 탄소저장(carbon storage)이 대기 중의 CO2 농도를 직접적으로 저감할 수 있는 효과적인 방안으로 인식되고 있다. 이처럼 이론적 저장용량을 고려할 때 CO2 지중 저장은 염대수층(saline aquifer)이나 고갈 유·가스전(depleted oil and gas reservoir)이 주요 저장 후보지로 주목받아 왔으나(Sander et al., 2011), 기존 염대수층 위주의 저장 방식에서 벗어나 에너지 회수증진과 격리를 동시에 달성할 수 있는 비전통자원(unconventional resources)의 가치가 재조명되고 있다. 특히 셰일(shale) 및 치밀(tight) 저류층, 석탄층(coalbeds)은 전 세계적으로 널리 분포하여 접근성이 높을 뿐만 아니라, 유체 교환이 제한적인 저투과 구조를 지니고 있어 안정적인 포집과 장기적인 격리에 유리한 지질학적 조건을 갖추고 있다. 이들은 각각 미세 공극(micro pore)구조와 흡착 특성을 통해 추가적인 저장 잠재력을 제공할 수 있지만 동시에 불균질성(heterogeneity), 지구역학적(geomechanical) 불안정성 등 기술적 과제가 존재한다.
이 연구에서는 저장소와 저장 방법에 대한 다양한 접근이 필요한 시점에서 비전통 저류층 내 CO2 주입을 통한 생산량 증대와 CO2 저감을 목적으로 수행된 자원 유형별 해외 사례 연구 동향을 체계적으로 검토하고자 한다. 특히, 셰일 및 치밀 저류층, 석탄층에서의 CO2 유동 특성 및 포획 기작(trapping mechanism), 데이터 기반 모델링 평가, 경제성 분석 등에 관한 최신 연구 동향을 중점적으로 기술한다. 이를 통해 향후 비전통자원 기반의 CO2 지중 저장 기술 개발 방향성을 제시하고, 나아가 탄소중립 전략 수립을 위한 기초 자료로 활용하고자 한다.
이산화탄소의 지중 저장
CO2는 지중 저장 시 31℃ 및 7.38 MPa 이상의 초임계(supercritical) 상태로 주입하며, 해당 상태에서 액체와 같이 밀도가 높지만 기체와 같은 점도를 가지므로 저장에 필요한 부피가 작다. 이때, 지층 약 800 m 이상 깊이에서의 온도 및 압력은 CO2의 임계점을 초과하여 그 이상의 깊이에서는 초임계 상태를 유지하게 된다(NETL, 2021). 이러한 저장 시에는 기술적으로 주입성(injectivity), 저장용량(storage capacity), 폐쇄성(containment)을 파악하여야 하며, 그 이외 경제성, 규제, 법률 등의 사항을 고려하여야 한다. 저장용량은 저류층의 면적, 두께, 공극률, CO2 밀도 등을 기반으로 도출하며, 저장 대상 지층의 유형 또는 관련 정보의 가용성, 그리고 적용되는 평가 방법에 따라 다양한 산정 방법이 적용될 수 있다. 주입성은 단위 시간당 주입 가능한 양으로 저류층의 공극률과 유체투과도가 높을수록 주입에 용이하며, 폐쇄성은 저장 공간에 안전하게 보관되는 정도로 하부에 주입된 CO2는 저류층 상부까지 상승하여 덮개암 하부의 지층 경계를 따라 수평 유동하는 경향을 보인다(Min, 2021).
CO2의 주입 및 저장 거동은 지층의 다양한 지질학적, 수리지질학적, 지구화학적, 역학적 및 열적 특성에 의해 좌우되며, 주입 후 시간에 따른 저장 안정성과의 관계에 대하여 포획 기작을 크게 4가지로 구분할 수 있다. CO2가 초임계 상태로 주입되어 구조, 층서 등에 의해 물리적으로 가두어지는 구조 포획(structural trapping), 주입된 CO2가 기존 유체를 대체하여 압력이 높은 영역에서 낮은 곳의 다공질 암석으로 이동하다 지나온 공극 일부에 남게 되는 잔류 포획(residual trapping), 이동 중인 CO2가 지층수에 용해되고 일부는 암석 공극 내 중탄산염을 형성하는 용해 포획(solubility trapping), 용해된 CO2가 암석의 광물과 반응하여 발생한 탄산염이온이 장기간에 걸쳐 주변 암석의 광물과 반응한 뒤 고체 탄산염 광물을 형성하는 광물 포획(mineral trapping)으로 나뉜다(NETL, 2021).
그러나 셰일 저류층과 같은 비전통자원에서의 포획 기작은 주입 초기 단계에서 구조 포획뿐만 아니라 흡착 포획(adsorption trapping)이 중요한 역할을 하며(Fig. 1), CO2 주입량이 증가하고 시간이 지남에 따라 잔류, 용해, 광물 포획 순으로 기여도가 증가한다. 초기 단계에서 CO2의 흡착 속도는 상대적으로 빠르지만, 치밀한 지층 특성으로 인해 심부 영역으로 확산되는 속도는 낮을 수 있다(Chang et al., 2024). 따라서 이러한 특성이 CO2의 이동 및 저장에 미치는 영향에 초점을 맞추어 연구 동향을 분석하였다.
셰일 저류층에서의 CO2 치환 및 저장 연구
셰일층은 나노/미세 공극이 주를 이루며, 공극 크기 분포와 연결성은 매우 복잡하고 불균질하다(Zou et al., 2021). 이처럼 공극이 미세하고 매트릭스가 치밀하여 주로 흡착가스(adsorbed gas)와 잔류 및 용해가스 형태로 존재하며, 자유가스(free gas)는 제한적인 경우가 많다. 특히 유기물 기질에서 발달한 공극은 셰일가스 저장의 핵심 공간으로 유기물 함량, 열적 성숙도, 공극 발달 정도가 가스 함량과 흡착 효율을 좌우한다(Zhao et al., 2022). 또한, 낮은 공극률과 유체투과도를 가지는 셰일 저류층에서 상업적 생산을 위해서는 수압파쇄(hydraulic fracturing) 등을 통해 인공 균열을 생성하여야 하며, 기존 매트릭스 내 미세 공극만으로는 불가능한 유체 흐름 경로를 확보하여 주입 또는 생산을 가능하게 한다. 따라서 일반적인 저류층과 달리 흡착, 확산(diffusion), 유체 및 균열 거동에 대한 상호작용을 고려하여야 하며, 이러한 복합 시스템에 CO2를 주입 및 저장하기 위해서는 선행 연구를 통해 실험, 시뮬레이션, 시나리오 연구 등에 대한 체계적인 분석이 필요하다.
흡착 메커니즘 및 물성 특성 평가
셰일 저류층에서 발생하는 흡착 기반의 유체 거동은 CO2 주입 시 치환을 통한 CH4의 회수증진과 저장의 효율을 결정하는 주요 요인이며, 유기물 특성, 공극 구조 등 암석 물성에 따라 크게 달라진다. 또한, 셰일 저류층 내에서는 CH4와 CO2가 혼합된 상태로 존재하며, 유기물의 존재는 CO2 흡착 측면에서 유리한 특성을 제공할 수 있다. 이에 실험실 스케일의 연구 중에서도 실제로 발생하는 흡착 거동을 가정한 실험 연구에 대해 다루었다.
Xie et al.(2022)은 중국 Sichuan 분지의 셰일 저류층을 대상으로 Langmuir 최대 흡착량(VL)과 CO2와 CH4의 흡착상 및 기체상의 몰분율 비인 Adsorption selectivity(SCO2/CH4)를 계산함으로써 주입 가스 조성에 따른 CH4/CO2 경쟁 흡착 거동을 분석하였다. 또한, TOC(total organic carbon), 점토 함량(clay contents), 공극 부피(pore volume, PV), 공극의 비표면적(specific surface area, SSV)이 경쟁 흡착 거동에 미치는 영향을 파악하였다(Fig. 2). 그 결과 VL과 SCO2/CH4 모두 TOC와 양의 상관관계, 점토함량과는 음의 상관관계를 보였다. SCO2/CH4는 압력이 증가할수록 감소하는 음의 상관관계를 보였으며, SCO2/CH4가 1 이상의 값을 가질 경우 CO2가 CH4에 비해 우선적으로 흡착됨을 의미한다. 공극 관련 인자의 경우 PV와 SSV 모두 증가할수록 SCO2/CH4가 높아짐을 확인하였다. 이를 통해 TOC가 셰일 저류층의 공극 구조와 경쟁 흡착 거동을 지배하는 핵심 인자임을 확인하였으며, 점토 함량 또한 흡착 용량에 기여하므로 CO2 주입 시 TOC와 점토 광물 구성을 복합적으로 고려해야 함을 제시하였다.

Fig. 2.
Relationship between total organic carbon (TOC), clay content, pore-structure parameters, adsorption capacity, and SCO2/CH4 in shale matix (Xie et al., 2022).
Liao et al.(2023)은 중국 Sichuan 및 Ordos 분지에서 3개의 해양 기원의 셰일(marine shale)과 1개의 대륙 기원의 셰일(continental shale) 코어 샘플을 활용하였으며, 헬륨을 이용한 부피 측정법을 통해 가스 조성을 달리하여 흡착량을 측정하였다. 그 결과 CO2가 CH4 보다 1.6–3.2배 높은 흡착 용량을 보였으며, 해양 기원의 경우 평균 흡착량이 대륙 기원에 비해 높게 도출되었다. 흡착량은 TOC와 양의 상관관계를 나타냈으며, 점토 함량의 경우 광물 종류에 영향을 받지만 가스 조성에 따라 다른 결과를 보였다. SCO2/CH4는 50% 비율로 혼합된 가스에서 공통적으로 높은 수준의 값이 나타났으며, 압력이 증가함에 따라 감소하는 경향을 보였다(Fig. 3).

Fig. 3.
Adsorption selectivity for CO2/CH4 gas mixtures in shale samples: (a) Longmaxi Formation (marine); (b) Yanchang Formation (continental) (Liao et al., 2023).
Jia et al.(2022)은 미국 Bakken Shale의 층 구간에 따른 코어 샘플을 활용하여 Gibbs 흡착량 측정 후 흡착상 밀도를 추정하여 계산한 절대흡착(absolute adsorption)을 구분하였으며, 확산이 저장용량에 미치는 영향을 분석하였다. 코어 샘플 별 절대 흡착은 압력이 증가할수록 단조롭게 증가하는 경향을 보이므로 주입 시뮬레이션 시 과대평가를 방지하기 위해서 Gibbs 흡착량 고려가 필요함을 확인하였다. 비틀림도(tortuosity)를 통해 확산의 영향을 평가하였으며, 유동 메커니즘의 우선순위가 흡착, 균열 유효 유체투과도, 암체 유체투과도, 확산임을 파악하였다. 또한, 흡착은 CO2를 공극 표면에 저장하여 저장용량을 크게 증가시키지만 공극 내 자유가스 농도는 감소하므로 농도만으로 저장 효율을 판단하기에는 어려움이 있음을 시사하였다.
균열 흡착에 따른 유체 거동 시뮬레이션
셰일 저류층은 인공적으로 생성한 균열을 활용하여 자원 회수와 CO2 저장을 수행한다. 이러한 균열 네트워크를 통해 다상 유체의 복잡한 거동이 동시에 일어나 불확실한 유동 메커니즘이 발생할 수 있으며, 이를 규명하기 위한 수치 시뮬레이션 연구가 진행되고 있다. 또한, 균열에 따른 CO2-EGR(enhanced gas recovery) 성능 및 저장관련인자에 미치는 영향 분석과 셰일의 복잡한 구조를 반영하기 위한 나노 공극 내 흡착·확산을 고려한 다중 스케일 모델링 연구가 증가하고 있다.
수압파쇄로 인한 복잡한 지질 및 유체 특성을 반영하고자 Zhan et al.(2021)은 미국 New Albany 현장자료를 기반으로 CO2 저장 실현 가능성과 EGR 효율을 평가하였다. 이를 위해 5년 동안 CH4를 생산 후 CO2 주입을 연속과 비연속으로 달리하여 30년 동안 시뮬레이션을 수행하였으며, 주입 방식에 따라 CH4 생산량은 유사하지만 CO2 저장용량은 87.9%, 80.8%로 연속 주입한 경우가 높게 나타났다. 또한, 균열 유체투과도를 10, 100, 1,000배로 증가시킴에 따라 CO2 돌파(breakthrough)에 의해 저장용량이 감소하는 것을 확인하여 CO2 격리와 EGR 효율을 동시에 충족하기 위해서는 수압파쇄 설계를 통해 주입정과 생산정간의 적정 규모의 유체 흐름 경로 구축이 필요함을 언급하였다.
Tang et al.(2023)은 초기 저류층 조건, 수압파쇄 인자, 주입 조건에 따른 CO2-EGR의 효율과 저장 가능성을 파악하였다. 초기 저류층 압력 증가는 돌파 발생 시점을 당겼으나 저장용량에 큰 영향을 미치지는 않았다. 초기 저류층 온도가 증가할 경우 흡탈착 감소를 유발하여 누적 CH4 생산량과 CO2 저장용량은 감소하였다(Fig. 4(a)). 유체투과도가 낮을수록 초기 생산량은 감소하였으나, CO2가 흡착되는 시간은 늘어나 최종 저장용량이 증가하였다(Fig. 4(b)). 균열 반길이(half-length)가 길수록 CO2 돌파는 빠르게 발생하여 다량의 CO2가 회수됨에 따라 저장용량이 점진적으로 감소하였으며, 수압파쇄 수에 따른 저장용량의 차이는 미미하였다. 평균 공극 크기가 커질수록 흡착량의 증가로 생산량은 증가하지만, 저장용량과는 비례하지 않는 양상을 보였다(Fig. 4(c)). 또한, 주입속도 증가에 따라 생산량의 변화보다 저장용량이 크게 증가하였다((Fig. 4(d)). 이를 통해 Case에 따라 주입된 총 CO2 가운데 45–60%가 저장되는 것을 확인하여 불균질한 셰일가스 저류층에서의 지중 저장 실현 가능성을 파악하였다.

Fig. 4.
Effects of production dynamics in CO2-EGR scenarios: (a) temperature; (b) matrix permeability; (c) mean pore size; (d) injection rate (Tang et al., 2023).
Meng et al.(2024)은 중국 Daqing 유전의 현장자료를 기반으로 CO2를 활용한 파쇄 후, 생산정으로 전환하여 10년간 저장 시뮬레이션을 수행하였다. 초기 3년간 다량의 CO2가 회수되었으며, 나머지 기간의 회수량이 안정적으로 감소하여 80.15%의 저장 효율을 기록하였다. CO2 흡착 분포를 통해 초기에는 주로 파쇄된 균열에 흡착이 집중되었으나, 확산의 진행과 유체투과도 변화에 따라 분포 경향은 달라짐을 확인하였다. 이와 관련하여 저장 시 확산이 흡착에 미치는 영향을 파악한 결과 초기 단계에서는 확산 적용 여부와 관계없이 흡착량이 유사하였으나, 압력감소가 시작될 경우 저류층 내 암석 표면과 접촉하는 면적이 증가하여 흡착량이 증가함을 확인하였다(Fig. 5). 이를 통해 확산 메커니즘이 CO2 흡착량을 증대시켜 저장 효율이 개선됨으로써 장기적인 저장이 가능함을 확인하였다.
데이터 기반 최적화 및 경제성 평가
기존의 선행 연구에서는 셰일 저류층에서 CO2의 저장 및 회수증진량에 대하여 실험을 통한 자료 측정으로부터 실제 유동을 모사하고자 하였으며, 시뮬레이션을 활용하여 다양한 인자에 대한 민감도 분석으로부터 영향 정도를 파악하였다. 최근에는 변수 간 복잡한 비선형적 관계를 분석하기 위해 인공지능(artificial intelligence, AI) 기반의 딥러닝 기법을 모델 구축이나 예측 단계에서 도입하고 있으며, 생산 및 저장에 대한 통합 운영에 있어 천연가스 가격이나 CO2 세금 공제와 같은 경제적 인자를 고려한 최적화 연구가 수행되고 있다.
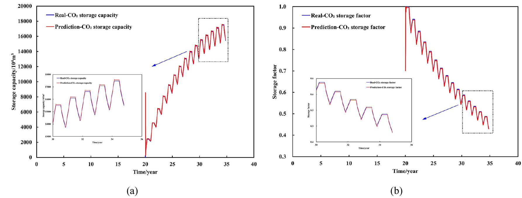
Chen et al.(2025)은 미국 New Albany Shale을 대상으로 Huff-n-Puff에서의 주요변수인 주입 사이클 수, 주입률, 주기별 주입량, 침윤 시간(soaking time)과 수압파쇄 반 길이, 수압파쇄 수, 파쇄 전도성에 따른 CO2 저장용량 및 저장계수를 분석하였다. 파쇄 관련 인자 및 침윤 시간과 저장용량, 저장계수는 양의 상관관계를 나타내었으나, 주입량과 주입 사이클 수는 증가할수록 저장용량은 향상, 저장계수는 감소하였다. 또한, 장단기기억(long short-term memory, LSTM) 은 주입 사이클에 따른 시계열적 저장 거동을 효과적으로 학습하여 복잡한 물리적 변수 하에서도 높은 정확도로 저장용량 및 계수를 예측하였다(Fig. 6). 본 연구를 통해 딥러닝을 적용함으로써 정확한 저장용량 및 저장계수 예측이 가능함을 확인하였으나, 등온 조건에서의 시뮬레이션 결과이므로 향후 현장 적용 시 CO2 주입에 따른 저류층 온도 변화가 물성 및 흡착 특성에 미치는 영향을 추가로 고려할 필요가 있을 것으로 사료된다.

Fig. 6.
Predicted and observed results: (a) storage capacity; (b) storage factor (Chen et al., 2025).
Baek et al.(2025)은 CH4/CO2 경쟁 흡착 거동을 모사할 수 있는 수치 모델을 캐나다 Duvernay Shale 자료를 바탕으로 구축하였으며, 주입 조건, 수압파쇄 설계 및 경제적 인자에 대한 영향을 파악하여 기계학습 기반의 프록시 모델을 도출하였다. 24년 동안 2개의 수평정을 통해 CH4를 생산하고 1번 생산정을 CO2 주입정으로 전환하였으며, 일일 가스 생산량이 500 Mscf/d인 35년 차에 2개 생산정 모두 10 Mscf/d의 CO2를 주입하도록 설정하였다. 민감도 분석 수행 결과, 유정 간격, 균열 반길이, 균열 전도도(conductivity)는 저장용량에 비례하였으며, 배수 영역(drainage area) 확장을 통해 유체가 흐를 수 있게 하여 저장 성능을 향상시켰다. 프록시 모델 학습 시 다양한 범위의 시나리오를 포괄하고자 LHS(latin hypercube sampling)을 이용하였으며, 각 시나리오에 대한 수치 시뮬레이션을 바탕으로 누적 CH4 생산량과 CO2 저장용량을 계산하고 경제적 요인에 따라 순현재가치(net present value, NPV)를 도출하였다. 그 결과 탄소세 혜택 유무가 NPV에 결정적인 차이를 유발하였으며, 세액 공제 적용 시 주입 단계부터 수익이 발생하여 경제적 타당성이 크게 향상됨을 확인하였다(Fig. 7). 또한, 구축된 프록시 모델은 시뮬레이션 결과 대비 보수적인 예측 경향을 보임으로써 의사결정 과정에서의 과대평가 리스크를 최소화하고, 다양한 경제적 시나리오 하에서 최적의 운영 전략 수립을 지원하는 유효한 도구로 활용될 수 있음을 보여주었다.

Fig. 7.
Distribution of reservoir simulation results: (a) total NPV without CO2 tax credits; (b) total NPV with CO2 tax credits (Baek et al., 2025).
치밀 저류층에서의 회수증진 및 CO2 지중 저장 연구
다공성 사암과는 달리 치밀 저류층은 낮은 공극률 및 유체투과도로 인해 자연상태에서 유체 흐름이 제한적이며(Wei et al., 2024), 응력 민감도(stress sensitivity)로 인해 지층이 받는 유효압(effective stress)이 증가하면 공극이 압축되고 유체투과도가 급격히 떨어지는 특성이 존재한다(Zeng et al., 2025). 균열이나 자극을 통한 통로 확보가 필수적인 치밀 저류층에서의 CO2 포획 기작은 구조, 잔류, 용해 포획의 복합적 작용으로 설명될 수 있으며, 특히 모세관압이 강하게 작용하여 미세균열 연결성에 크게 영향을 받는다. 따라서 비전통자원 중 CO2 저장에 있어 도전적인 대상이지만 동시에 장기 안정성 측면에서 잠재력을 가진 지층으로 여겨지고 있으며, 기존의 CO2 유동 특성, 포획 기작, 최적 주입 방식 등의 연구와 더불어 현장 적용성 연구가 필요한 시점이다.
CO2-EOR/EGR에 따른 유체 거동 및 평가 연구
치밀 저류층의 석유 생산에는 수압파쇄가 필요하며, 이로 인해 초기 2–3년 동안은 생산성이 향상되나 이후 급격히 감소하여 최종 오일 회수율은 약 10% 미만에 그친다(Wang et al., 2023). 이에 CO2-EOR(enhanced oil recovery)/EGR을 위해 적용하는 대표적인 주입 방식에는 가스와 물을 교차 주입하는 WAG(water alternating gas), 생산 및 주입정으로 단일정을 활용하는 Huff-n-Puff가 있다. 이는 저류층 내 압력 증가, 점성 및 계면장력 감소, 상대 유체투과도 이력현상(hysteresis) 등을 통해 회수율을 높일 수 있으며, 저류층 특성에 적합한 주입 방식을 활용하여 효율을 높이는 것이 필요하다.
Zhang et al.(2019)은 미국 Eagle Ford의 치밀 저류층을 대상으로 코어 샘플의 실험결과와 미세 공극 물성을 반영한 저류층 모델을 구축하여 흡착 및 분자 확산 효과를 파악하였다. 이를 위해 Case A에서는 오일 생산만, Case B–D는 3년간 오일 생산 후 Huff-n-Puff 과정을 도입하였다. Case C는 CO2 분자 확산 계수를 고려하였으며, Case D는 분자 확산 및 Langmuir model을 활용하여 CO2 흡착이 가능하도록 설정하였다. 그 결과 CO2 몰분율(mole fraction) 분포를 통해 확산을 고려하지 않은 경우 수압파쇄 균열 부근에 머무르게 되며, 고려한 경우 오일 상과 CO2와의 혼합을 통해 석유가 팽창하고 점도를 낮추어 회수증진이 가능하였다. 또한, 기작별 CO2 역류량(backflow)을 비교한 결과, 확산과 흡착이 고려되지 않은 경우(Case B) 주입량의 79%가 회수되었으나, 확산(Case C)과 흡착(Case D)이 추가됨에 따라 역류량이 각각 67%와 59%로 감소하였다(Fig. 8(a)). 이는 분자 확산과 흡착 기작이 치밀 저류층 내 CO2 포획을 촉진함으로써 전반적인 저장 효율을 향상시키는 주요 요인임을 나타내었다(Fig. 8(b)).

Fig. 8.
Comparisons among different cases: (a) oil recovery factor; (b) CO2 backflow (Zhang et al., 2019).
중국 Ordos Basin은 융기와 침강에 의한 대규모 구조적 트랩 구조가 형성되어 있으며, 단층이 국부적으로 나타나 가스 누출 위험성이 적어 안정적이고 상업적인 CO2 저장소로 평가받고 있다. 이에 따라 해당 지역을 대상으로 한 다양한 연구가 진행되고 있으며, 주요 주입 전략에 관한 연구를 Table 1에 요약하였다. Ren et al.(2023)은 주입정 수와 관계없이 WAG 적용 시 초기 CO2 돌파를 억제하여 접촉 면적 확장과 CO2 플룸(plume)의 균질한 분포를 유도함으로써 생산량을 향상시켰으나, CO2 저장용량 측면에서는 연속주입이 더 유리하게 나타났다(Fig. 9). Yang et al.(2025)은 5개 주입정을 대상으로 전략별 주입속도와 기간에 따른 Case study를 수행하였으며, 가장 높은 속도로 연속주입을 실시한 경우 CO2 지중 저장 측면에서 최적의 모델임을 확인하였다(Fig. 10). 이러한 결과는 CO2 활용 효율과 자원 회수증진에 대한 최적화가 대상 저류층 특성에 따라 적절한 주입 전략을 선택하고 그 균형점을 찾아가는 과정임을 시사한다.
Table 1.
Summary of CO2 injection performance based on different injection strategies in the Ordos Basin
| Ren et al. (2023) | Yang et al. (2025) | |
| Study area | Baiba | Yangchang |
| Injection period | 20 years | |
| Injection strategy |
CI* & WAG (3 months) for 2 & 9 injectors |
CI: Injection rate 20, 30, 40 tones/day WAG: Injection period (W:G) 3:3,6,9 |
| Sweep efficiency | CI < WAG |
CI: Injection rate↑–↓ WAG: Injection period↑–↓ |
| CO2 plume distribution | CI < WAG | Non-equivalent |
| Enhanced recovery | CI < WAG |
CI: Injection rate↑–↑ WAG: Injection period↑–↑ |
| CO2 storage | CI > WAG |
CI: Injection rate↑–↑ WAG: Injection period↑–↑ |
| Trap mechanism | - | structural < solubility < residual |

Fig. 9.
CO2-EOR and storage potential: (a) two CO2 injection well scenario; (b) nine CO2 injection well scenario; (c) total CO2 stored in the reservoir (Ren et al., 2023).

Fig. 10.
Amount of trapped CO2 under different trapping mechanisms: (a) dissolved in water; (b) dissolved in oil; (c) free gas; (d) residual gas (Yang et al., 2025).
이외에도 천공(perforation) 위치가 가스 회수율 및 CO2 저장에 미치는 영향을 분석하고자 Ordos Basin의 중북부에 위치한 Sulige 지역의 지질 자료를 활용하였다(Zhao et al., 2024). 주입정 하부에 천공할 경우 CO2가 저류층 하부를 따라 이동하여 돌파면(breakthrough front)이 앞서 있으나, 1,300일 이후 CO2가 상부로 이동함에 따라 경향이 반대로 나타났다. 생산정을 상부에 천공한 경우 CO2 돌파를 지연시킬 수 있으나, 최종 회수율은 감소하였다. 또한, 전체 Case에서 잔류 및 용해 포획된 양을 비교한 결과 저장된 총량 중 용해된 CO2 비율은 10%를 초과하지 않고 대부분이 초임계 상태로 공극 내에 잔류하였다(Fig. 11). 이러한 분석 내용에 근거하여 지중의 CO2 돌파면과 주입시간 간의 정량적 관계를 규명함으로써 돌파 예측의 이론적 기반을 제공하여 CO2-EGR의 안정성을 높일 수 있을 것으로 보인다.
CO2 포획 기작 및 장기 안정성 평가
주입 시 지질구조, 점성도, 모세관압, 용해된 CO2와 암석 간의 상호작용 등의 영향으로 지중 저장이 이루어지며, 서로 다른 단계에서 지층 내 CO2의 저장 상태가 달라진다. 치밀 저류층을 대상으로 선행 연구에서는 포획 기작에 대한 이해를 전제로 하였으며, 시간에 따른 포획 기작 변화에 대한 결과 분석이 필요하다.
Ramadhan et al.(2024)은 태국 Mae Moh Basin의 치밀 저류층을 대상으로 30년 동안 CO2 주입 후 저류층 특성에 따른 1,000년간의 포획 기작의 기여도 변화를 분석하였다(Fig. 12). 저류층 온도 상승에 따라 CO2의 밀도와 점성이 커져 구조 포획 양 대비 용해 포획 양이 증가하였다. 이력현상이 클수록 공극 내 모세관압이 강하게 작용하여 많은양의 CO2가 격리될 수 있어 잔류 포획 양은 증가하였으며, 용해될 수 있는 전체 표면적이 감소하여 용해 포획 양은 감소하였다. 파쇄압력 대비 최대허용압력(maximum allowable pressure, MAP)이 높을수록 CO2 부력 감소가 발생하여 덮개암 아래의 구조 포획 양은 증가하였으나, 지층수와 접촉하는 표면적 감소로 용해 포획 양은 줄었다.

Fig. 12.
Sensitivity analysis of CO2 trapping mechanisms: (a) temperature; (b) hysteresis; (c) MAP; (d) heterogeneity; (e) anisotropy; (f) rock compressibility (Ramadhan et al., 2024).
Wang et al.(2025a)은 중국 Ordos Basin의 Huaziping 현장자료와 유정평가를 통해 검증한 모델을 구축하였으며, 주입 시나리오를 달리하여 저류층 내 포획 기작에 대하여 장기간의 변화과정을 분석하였다. 20년간 주입 시뮬레이션을 수행한 결과 저류층 내 CO2 저장률이 주입정과 생산정의 폐쇄(shut-in) 전에는 지속적으로 감소하고 오일 회수증진 효과를 보였으며, 이후 저장률이 안정화됨에 따라 저장소로 활용 가능함을 파악하였다. 이후 100년간의 저장 거동을 분석한 결과, 물과 CO2를 교대로 주입하는 경우 물과 접촉 면적이 확대됨에 따라 잔류 및 용해 포획 양의 비율이 높고 구조 포획 비율이 낮은 것을 확인하였다. 또한, 10,000년 간의 시뮬레이션 결과를 통해 100년 이후부터 광물 포획이 발생하여 완전한 격리가 이루어짐을 확인하였다(Fig. 13).
석탄층에서 CO2를 활용한 ECBM 및 지중 저장 연구
석탄층은 미세 공극과 석탄 절리(coal cleat) 또는 자연균열(natural fracture)로 이루어진 이중 공극 구조(dual-porosity)를 가지며, 나노–미세 공극에 흡착된 가스는 공극 구조를 통해 확산되고 절리 및 자연균열을 따라 외부로 이동할 수 있다(Pandey and Harpalani, 2024). 이러한 유체의 거동과 가스 함유량은 공극 분포 및 크기, SSV, 절리 발달 정도, 탄층 품위(coal rank), 수분 및 회분 함량 등의 지질·물리적 인자에 따라 차이가 발생한다(Li et al., 2023). 이러한 석탄층은 흡착 등온선으로 기술될 수 있는 대표적 비전통자원으로 CO2-ECBM(enhanced coalbed methane recovery) 적용 시 CH4는 CO2 흡착에 의해 탈착됨에 따라 생산되며, CO2 저장과 CH4 생산을 동시에 달성할 수 있다. 이때, 저장 효율성과 안정성을 확보하기 위해서는 공극 구조, 흡탈착 거동, 암체-절리의 상호작용 등을 복합적으로 고려한 정밀한 수치 모델링 및 평가가 필수적이며 이와 관련된 연구가 진행되고 있다.
흡착 메커니즘 및 미세 구조적 특성 파악
석탄층에서 CO2 흡착량은 CH4의 2–10배로 CO2 주입을 통한 생산능력 향상이 가능하다. 이에 따라 CO2-ECBM을 통해 저장 및 생산 증진 기법에 대한 연구가 활발히 진행되고 있으나, 유동 특성과 메커니즘에 대한 포괄적인 규명은 여전히 미흡한 실정이다. 또한, 가스 생산 이후 다량의 CO2 주입이 가능함에도 불구하고 수압파쇄로 인한 불균질성과 가스 채널링 현상은 저장 효율을 저하시키는 요인이 된다. 따라서 석탄층 내 CO2 주입 시 발생할 수 있는 유동 특성을 근본적으로 이해하기 위해 분자 수준의 상호작용 및 암석 역학적 특성 변화에 관한 연구가 수행되고 있다.
Gao et al.(2024)은 무기층과 유기층으로 구성한 모델에 대하여 흡착제(adsorbent)와 흡착질(adsorbate) 간의 인력 및 척력을 계산하는 Van der Waals 항과 Coulomb 정전기항으로 구성된 식을 이용하여 CO2 및 CH4의 흡탈착 변화를 분석하였다. 그 결과 온도가 증가할수록 Van der Waals 및 Coulomb 값이 감소하여 물리적 흡착이 억제되는 것을 확인하였으며, 상대적으로 크게 나타나는 Van der Waals 힘이 흡착과정에서 주도적인 역할을 하는 것을 파악하였다. 또한, 공극 내 가스 확산 거동을 분석하기 위해 시간에 따른 입자의 이동패턴 파악이 가능한 평균제곱변위(mean square displacement, MSD) 방법을 활용하였으며, 온도가 높을수록 CH4가 CO2에 비해 MSD의 기울기, 즉 CH4의 확산 속도가 상대적으로 빨라지는 것을 확인하였다. 이러한 결과를 통해 무연탄 층에서 탈착된 CH4는 저류층 내에서 생산정으로 이동이 용이하며, CO2는 상대적으로 공극 내 안정적인 격리가 가능함을 파악하였다.
Fang et al.(2024)은 중국 Huainan 탄광 지역의 Liuzhuang 광산을 대상으로 10년 동안 초기 저류층 및 CO2 주입온도, 물리적 특성 변화에 따른 CH4 생산량 및 CO2 저장용량을 평가하였다. 주입정 근처에서 흡탈착에 따른 발열 및 흡열이 동시에 발생하여 저류층 온도 변화가 명확히 나타났으며, 주입온도가 높을수록 CO2가 빠르게 확산하여 경쟁 흡착 범위가 확대되었다. 초기 온도가 낮은 경우 CO2 흡착 효율이 증가하였으며, 이로 인해 가스 분자의 활동성이 증가하여 공극 내에서 자유가스로 존재할 확률이 높아짐에 따라 실질적인 CO2 흡착량은 감소하였다. 또한, 물리적 특성 중 탄성계수는 낮을수록 석탄층 변형이 용이하여 CO2와 석탄층 간 접촉 면적이 확대됨에 따라 저장용량과 CH4 생산량이 증가하였다. 포아송 비는 석탄층의 횡변형(elastic transverse deformation)을 나타내며, 값이 클수록 석탄층의 열적 및 구조적 변화 유도를 통해 가스 이동 및 흡착 효율성 개선이 가능하여 저장용량이 향상됨을 파악하였다.
이외에도 시추, 파쇄, 배수 단계에서 다양한 크기의 석탄 미분(fine)이 생성되며, 이는 균열로 발생한 공극을 폐쇄하거나 CO2 흡착에 영향을 미칠 수 있다. 이에 Wang et al.(2025b)은 석탄 미분의 유무를 구분하여 지층의 파쇄 여부, 주입 압력에 따른 CO2 저장 능력을 파악하였다. 그 결과 석탄 미분이 존재하는 경우 균열을 부분적으로 폐쇄함으로써 유체 흐름의 비틀림도가 증가하여 가스 채널링 효과가 감소하였으며, CO2 이동 흐름이 느려지고 저항이 증가함에 따라 흡착 가능 시간과 접촉 면적이 증가하였다. 또한, 자연 및 인공균열을 비교한 경우 자연균열에서의 CO2 저장용량이 크게 나타났으며, 이는 인공 균열이 프로판트로 인해 더 높은 유체투과도를 가져 가스 채널링이 심화되었기 때문으로 해석된다. CO2 주입 압력이 증가할수록 석탄 미분은 높은 저항을 유발하여 저장용량 및 효율 측면에서 상대적으로 우수하게 나타났으나, 동일한 양의 CO2를 주입하는데 필요한 시간이 늘어났다.
주입 가스 조성 및 운영 조건 최적화
ECBM은 CH4 회수율과 주입 유체의 격리효율을 동시에 최적화하는 것이 주요 쟁점으로 효율적인 격리를 위하여 CO2/N2 혼합 주입이 고려되고 있다. 이에 저류층 내 혼합 조성에 대한 경쟁 흡착 관계, 석탄의 특성에 따라 변화하는 유체투과도 감소, CO2 돌파가 CO2 저장 및 주입성에 미치는 영향에 관한 연구가 수행되고 있다. 가스 혼합비율에 따라 변화하는 양상을 Table 2에 요약하였으며, 주요 연구 사례로 Jia et al.(2025)은 주기적 주입 시 많은 양의 CO2 및 N2가 석탄층에 흡착됨을 규명하고, 4:1 혼합 비율에서 흡착량의 차이가 가장 크게 나타남을 확인하였다. Wang et al.(2025c)은 주입온도, 유체투과도, 수포화율과 같이 다양한 초기조건별 최적 혼합 비율을 파악하였으며(Fig. 14), 이를 통해 석탄의 팽윤(swelling)에 의한 돌파와 유체투과도 감소 효과를 조절할 수 있음을 확인하였다.
Table 2.
Evaluation of CO2/N2 mixed-gas injection on adsorption and recovery performance
| Jia et al. (2025) | Wang et al. (2025c) | |
| Injection strategy | Cyclic & Sustained | - |
| CO2/N2 ratio | Pure CO2, 4:1, 3:2, 2:3, 1:4, Pure N2 | Pure CO2, 7:3, 5:5, 4:6, 3:7, 2:8, 1:9, Pure N2 |
| Total adsorbed amount, SSV, PV |
Cyclic > Sustained CO2/N2 ratio↓–↓ | - |
| Enhanced recovery | - |
Temperature↑& k0↑– rightward shift Sw↑– leftward shift |

Fig. 14.
Changes in CO2 components under different conditions: (a) injection temperature; (b) initial permeability; (c) initial water saturation (Wang et al., 2025c).
현장 규모 평가 및 데이터 기반 모델링
CO2-ECBM은 석탄층 내에서 흡착, 열 효과, 역학적 변형, 수리적 효과 등을 포함한 다중 물리 결합을 수반하며, 이러한 상호작용은 석탄의 역학적 성질과 유체투과도에 영향으로 미치고 주입으로 인한 응력 및 팽창 변형률의 변화는 균열의 열림이나 폐쇄를 유발한다. 또한, CO2 주입은 열화(deterioration) 및 손상 현상을 증가시켜 석탄과 암석의 물성 및 구조에 변화를 일으키며, 공극률, 유체투과도 등이 변화하여 CH4 생산과 CO2 저장에 영향을 미치게 된다. 현장 규모의 석탄층에서 다양한 영향을 고려한 연구가 진행되고 있으며, 최근 들어 AI 기반의 예측이 수행되는 추세이다.
Teng et al.(2025)은 폐쇄된 석탄광구의 유체투과도 변화에 따른 CH4/CO2 경쟁 흡착 및 유체 거동을 바탕으로 30년 동안의 CH4 생산량과 CO2 저장용량을 분석하였다. CO2를 주입한 경우 가스 압력이 빠르게 감소하여 생산이 향상되었으며, CH4 압력 강하가 크게 나타나고 생산정과의 거리가 가까울수록 CH4 회수율이 높았다. CO2 압력 분포를 확인한 결과 낮은 유체투과도로 인해 석탄층 주변에 CO2가 대부분 존재하였으며, 주입된 CO2에 의해 발생한 압력차로 탈착이 발생하여 유체투과도는 처음에는 감소하다 증가하는 양상을 보였다. 또한, 석탄 기둥(coal pillar), 붕락대(falling zone), 균열대(fracturing zone)에 대한 생산량은 석탄 기둥을 제외하고 CO2 주입 유무에 영향을 받지 않았으나, 저장용량은 포화가 이루어진 특정 시점 이후 붕락대에서 비율이 크게 증가하였다(Fig. 15).
Zhang et al.(2025)은 다중연동 유동모델(Multi-physics coupled flow model)과 LSTM을 결합하여 3,200일간 CH4 생산량과 CO2 저장용량을 예측하였다. 또한, CO2 저장용량의 경향 및 주기적 패턴은 균열, 주입속도, 주입시간, 저류층 특성에 영향을 받으므로 관련인자를 활용한 민감도 분석을 수행하였다(Fig. 16). 그 결과 균열이 많을수록 CO2 돌파로 인해 저장 효율이 저하되었으며, 주입속도 증가는 CO2 확산과 흡착을 촉진하지만 CO2 돌파의 발생 시점을 당길수 있다. 주입 기간의 주기가 짧아질수록 조기에 돌파가 발생할 가능성이 줄고 CO2 흡착이 강화될 수 있어 저장용량은 증가하였다. 이와 더불어 본 연구에서 제시한 접근법을 검증하기 위해 중국 Qinshui 분지의 지질 모델을 대상으로 최적화를 수행함으로써 CO2-ECBM 현장 운영을 위한 효율적인 의사결정 도구로 활용할 수 있을 것으로 판단하였다.

Fig. 16.
Cumulative CO2 sequestration under different CO2-ECBM conditions: (a) fracture number; (b) injection rate; (c) injection period (Zhang et al., 2025).
결론 및 향후 연구 방향 제언
이 연구에서는 비전통자원 중 셰일 및 치밀 저류층, 석탄층에서의 CO2 지중 저장 연구 동향을 검토하였으며, 비교적 최신 연구에 대해 주제를 세분화하여 구분하였다. 먼저, 복잡한 미세 공극 구조를 가지고 있는 셰일 저류층은 대량의 가스 흡착이 가능하며, CO2가 CH4보다 우선 흡착되어 셰일가스 회수증진과 효과적인 CO2 지중 저장이 가능하다. 모세관압이 강하게 작용하여 미세균열의 연결성에 영향을 받는 치밀 저류층에 CO2를 주입하게 되면 치환 메커니즘에 의해 CO2가 오일에 용해되면서 점도가 감소하고 부피가 팽창하며, 이 과정에서 구조 및 용해 포획이 발생하고 접촉효율의 영향에 의해 용해도가 결정된다. 또한, 대부분의 CBM은 암체 공극 내 흡착가스로 존재하고 절리를 통한 자유가스나 용해가스는 비교적 적은 부분을 차지하며, 흡착 능력이 CH4에 비해 뛰어난 CO2의 특성을 활용한다. 이러한 비전통자원에서의 CO2 저장과 활용에 있어 자원별 연구 동향 분석을 통해 Table 3과 같이 핵심적인 특성을 요약하였다. 추가 생산량과 저장용량은 저류층 물성, 유체 및 지질학적 특성, 운영 방식에 크게 좌우되며, 나노-미세 구조 분석, 수치 모델링과 더불어 실험 기반 기초 연구가 복합적으로 수행되고 있다. 그러나 현장 적용으로의 확장과 장기적 거동 평가에는 여전히 한계가 존재한다.
Table 3.
Comparison of CO2 storage characteristics in unconventional reservoirs
향후 셰일 저류층에서의 CO2 저장 연구는 나노 공극 특성에 대한 정밀한 정량화, 유기물 팽윤 및 CH4/CO2 경쟁 흡착의 상호작용 규명, 그리고 압력 및 응력 변화에 의한 유동 변화 양상에 집중할 필요가 있다. 또한, 실제 현장 규모에서 적용 가능한 CO2-EGR 기술의 경제성 평가와 장기 저장 안정성 확보가 중요할 것으로 보인다. 치밀 저류층은 셰일과 비교하면 유기물 기반 흡착 기여는 적고, 광물 반응 및 공극 구조 비균질성이 핵심 요소로 작용한다는 점이 특징이다. 이에 향후 연구는 미세균열 기반 주입성 향상 기술, 효율적인 압력 관리, 장기 반응-수송 모델의 고도화, 그리고 덮개암 안정성 관리 기술 개발에 중점을 둘 필요가 있다. 석탄층의 경우 CO2 저장 및 ECBM 기술은 흡착 기반 메커니즘의 정밀한 분석과 유체투과도 감소 문제를 해결하는 것이 핵심 과제로 남아 있다. 특히 석탄 팽윤에 따른 유체투과도 변화는 현장 적용에서 가장 큰 제약 요소로 작용하므로 압력 관리 전략, 질소 혼합 주입, 단계적 주입 방식 등 운영 조건에 대한 최적화 기술 개발이 필요할 것이다. 또한, 대부분의 관련 연구가 자원 회수를 동반하는 ECBM에 치중되어 있다는 한계가 있으나, 향후에는 경제성이 낮은 심부 미채굴 석탄층(unmineable coal seams)을 대상으로 순수 저장 효율과 지질학적 안정성을 극대화하는 평가 연구가 병행되어야 할 것이다.
이렇듯 세 가지의 비전통자원에 대하여 공통적으로 현장 규모의 실증 연구, 저장 잠재력 평가, 장기 모니터링 기술 개발, 통합적 CO2 관리에 대한 체계적인 전략 수립이 필요하다. 현재의 연구 동향이 비전통자원 내 CO2 저장이 자원 회수증진을 통한 경제성 확보에 치중되어 있다는 점은 탄소중립 달성을 위한 대규모 저장 시나리오에서 한계로 작용할 수 있다. 이를 극복하기 위해서는 수익성 중심의 운영 모델을 넘어 순수 지중 저장을 목적으로 하는 주입 공법 고도화와 장기적 격리 안정성 확보에 관한 논의가 심화되어야 한다. 특히 국내의 경우 관련 연구가 초기 단계에 머물러 있으며, 해외 사례와 비교할 때 규모와 범위에서 제약이 크다. 또한, 정책적·제도적 기반 마련을 통해 비전통자원을 활용한 CO2 지중 저장 연구가 활성화된다면 이는 국내 탄소중립 전략에 기여할 수 있는 중요한 대안으로 자리매김할 것이다.







