서론
확률론적 기법을 적용한 시추기간 예측
시추 기술자료 분석
확률론적 기법
시추기간 예측 프로그램
현장 시추공 자료에 대한 시추기간 예측
수직정 A의 시추기간 예측
수평정 B의 시추기간 예측
결론
서론
자원개발 사업 시 시추를 통해 석유 또는 가스의 부존 여부를 직접 확인하는 작업은 필수적이며, 시추작업은 계획에 의해 효율적으로 수행하는지 여부에 따라 사업의 경제성이 크게 좌우된다(Jang et al., 1999). 시추계획은 관련된 모든 사항을 고려한 시추 프로그램(Drilling Program)을 작성하고 이를 통해 작업에 소요될 시간과 비용을 모두 포함한다. 따라서 시추 프로그램 작성결과를 활용하여 목표심도에 도달하기 위한 시추공 형태와 시간에 따른 시추공 굴착 깊이를 예측하여 계획대로 시추작업을 수행하는 것이 중요하다(Steve, 1998). 또한, 시추계획 시 시추 대상이 깊어질수록 시추기간이 길어지고 깊이가 깊어지기 때문에 시추작업 중 문제가 발생할 수 있는 위험과 시추비용이 증가하게 된다(Lim et al., 2010).
새로운 시추작업에 대한 기간 예측은 광구 개발 참여를 통해 취득한 시추 자료를 참고하는 것이 일반적이다. Fig. 1과 같이 시추 리그 이동 후 시추, 케이싱(Casing), 시멘팅(Cementing)의 반복적인 과정을 거치는 시추작업은 저류층 상태, 시추장비, 날씨 등에 의한 불확실성이 존재하므로 이를 고려한 시추계획 수립이 이루어져야 한다. 시추작업의 불확실성을 고려한 확률론적 시추기간 예측 연구는 대규모의 광구를 운영하는 메이져 석유 회사를 중심으로 이루어지고 있으며, 확률론적 방법(Probabilistic Method) 중에서도 몬테카를로 시뮬레이션(Monte Carlo Simulation)을 이용한 시추기간 예측 연구가 활발히 수행되고 있다(Adams et al., 2015).
Statoil社는 확률론적 방법을 이용한 시추기간 및 비용 예측 시 가용한 자료가 부족할 때에도 사용 가능한 스프레드시트 모델에 대해 제안하였다. 이후 Statoil社가 보유한 시추공 데이터베이스를 이용해 자료를 검증하기 위한 알고리즘 및 프로그램(Drilling and Well Estimator)을 개발하였다(Hollund et al., 2010). IRIS(International Research Institute of Stavanger)에서는 ENI E& P社와 ProEnergy社의 지원을 받아 몬테카를로 시뮬레이션을 이용한 시추기간 및 비용 예측 프로그램(Risk€)을 구축하였다. 해당 프로그램에서는 시추작업 입력 과정에서 일반적인 시추과정 목록을 불러올 수 있게 하여 입력 과정에서의 불필요한 시간을 단축하고자 하였다(Merlo et al., 2009). Saudi Aramco社의 경우 시추기간 예측 모듈을 포함한 시추계획 프로그램인 ‘WellPlanET’를 구축하였으며, 시추이수(Drilling Mud) 및 케이싱 디자인에 필요한 계산 기능과 시추 프로그램을 보고서화 하는 기능이 있다(Radhwi et al., 2013). 반면에 국내에서는 시추자료 데이터베이스 구축을 위한 프로그램이 개발된 바 있으나(Suh et al., 2008), 광구 운영 경험이 상대적으로 부족하여 시추계획 수립과 관련된 기술축적이 필요한 실정이다.
이 연구에서는 확률론적 방법 중 하나인 몬테카를로 시뮬레이션을 이용하여 시추작업의 불확실성을 고려한 시추기간 예측을 수행하고자 하였다. 이를 위해 일일시추보고서(Daily Drilling Report; DDR), 시추 프로그램 등과 같은 시추 기술자료를 활용하여 우선적으로 주요 시추작업 항목을 분류하고, 확률론적 결과 도출 시 필요한 인자에 대한 기초자료를 구축하고자 하였다. 또한, 동일 광구의 현장 시추공 자료를 이용하여 결정론적 및 확률론적 시추기간을 예측하고자 한다.
확률론적 기법을 적용한 시추기간 예측
시추 기술자료 분석
현장에서 일반적으로 얻을 수 있는 DDR은 시간에 따른 시추작업 내용, 비트의 종류, 크기, 노즐 크기 등과 같은 BHA(Bottom Hole Assembly) 정보, WOB(Weight On Bit), ROP(Rate Of Penetration), RPM(Revolution Per Minute) 등의 시추관련 정보, 시추이수의 밀도, 온도, 점도 등의 정보, HSE(Health and Safety Executive), 장비재고, 날씨 등의 정보가 있다. 이러한 정보들 중 시추기간 예측과 직접적으로 관련된 항목은 시간에 따른 시추작업 내용으로써 시추기간 예측 시 주요 입력항목이다.
시추작업은 시추, 이송(Tripping), 케이싱과 같은 일련의 작업들이 반복적으로 이루어지므로 Halliburton社의 WellCost와 AGR社의 P1™과 같은 상용 프로그램과 현장 시추 기술자료를 참고하여 주요 시추작업을 분류하였으며(Table 1), 각 항목에 대하여 세부내용을 구분하여 작성하였다. WellCost의 경우 현장 시추 데이터베이스를 바탕으로 구성되어 있는 시추작업을 선택하며, P1™은 사용자가 모든 작업을 입력하도록 구성되어 있다.
따라서 개발한 프로그램에서는 기본적으로 시추 리그 이동과 설치를 위한 작업이 포함되며, 국내 기업이 참여한 광구의 자료를 바탕으로 각각의 주요 작업 시 수행하는 일반적인 항목을 분류함으로써 현장 시추공을 대상으로 소요되는 시간에 대한 정보를 분석하였다. 또한, 분류된 주요 시추작업에 대해 직관적으로 사용가능 하도록 구성하였으며, 항목에 없거나 추가적인 내용에 대해서는 간단하게 작성하여 시추기간 예측에 활용할 수 있도록 하였다.
확률론적 기법
유‧가스전 개발을 위한 시추작업 시 기간을 예측하기 위해서는 각각의 개별 시추작업(Activity)들에 대한 소요시간 예측이 필요하다. 각 시추작업에는 불확실한 요소가 존재하게 되며, 시추이수 손실, 비정상 압력층 발견, 시추공의 불안정성 등과 같은 시추문제에 대한 위험성을 지니고 있다(Saibi, 2007; Choi et al., 2011; Min et al., 2012). 이러한 불확실성이 전체 시추기간에 미치는 영향을 분석하고 이를 고려하고자 확률론적으로 시추기간을 예측하는 몬테카를로 시뮬레이션 기법이 널리 사용되고 있다(Williamson et al., 2006). 확률론적 기법을 이용하게 되면 시추기간 및 일정에 따라 프로젝트의 달성 확률에 대한 평가가 가능하며, 다양한 상황에 대한 결과 분석을 수행할 수 있다.
확률론적 방법 중에서도 몬테카를로 시뮬레이션은 정의한 입력 자료의 확률분포(Probability Distribution)에 따른 난수 생성을 기반으로 누적결과의 확률적 모형을 제공하는 분석기법이며, 최근 소프트웨어의 발달로 널리 사용되고 있다(Akins et al., 2005). 입력자료에 대한 확률분포의 형태를 최적화하기 위해서 많은 시간과 모의시험이 소요되나, 몬테카를로 시뮬레이션은 난수를 생성하여 보다 효과적으로 유효한 결과를 도출할 수 있다(Chung, 2013).
몬테카를로 시뮬레이션을 시추기간 예측에 적용하기 위해서는 Fig. 2와 같은 과정을 통해 개별 시추작업으로부터 시추작업 구간(Phase)에 대한 소요시간을 추정하며, 각 시추작업 구간에 대한 시간의 합을 통해 전체 시추기간을 예측하게 된다. 먼저 개별 시추작업의 확률분포를 결정하고 이에 대한 분포 인자를 설정하여야 한다. 이때 자료가 많을 경우 평균과 분산 등의 정보를 필요로 하는 정규분포나 로그정규분포를 사용할 수 있으나(Budzaya, 2013), 자료가 충분하지 않아 변수의 정확한 분포추정이 어려울 경우 최솟값(minimum), 최빈값(mode), 최댓값(maximum)에 대한 비교적 간단한 정보가 필요한 삼각분포를 이용한다(Kim et al., 2014). 이후 시추작업에 대하여 정해진 확률분포 범위 내에서 난수를 무작위로 생성하며, 이로부터 개별 시추작업의 히스토그램(Histogram)을 구하고 누적확률분포(Cumulative Probability Distribution)로부터 확률값 파악이 가능하다. 마지막으로 개별 시추작업에 대한 시간을 합산함으로써 하나의 시추작업 구간에 대한 확률론적 시간 예측을 수행할 수 있다.
시추기간 예측 프로그램
이 연구에서는 시추기간에 대하여 결정론적 및 확률론적 예측을 위해 개발한 프로그램을 활용하였으며, Fig. 3과 같이 Project Builder, Project Manager, Drilling Time Estimation의 과정으로 구성되어 있다. 해당 프로그램은 Fig. 4와 같은 GUI로 이루어져있으며, 새로운 Project를 프로그램 상에서 작성하거나 작성된 Project 파일을 불러올 수 있다. 또한, 시추작업 내용을 자유롭게 편집할 수 있으며, Project Input과 Output을 동일파일에 저장함으로써 관리가 편리하도록 제작하였다.
현장 시추공 자료에 대한 시추기간 예측
수직정 A의 시추기간 예측
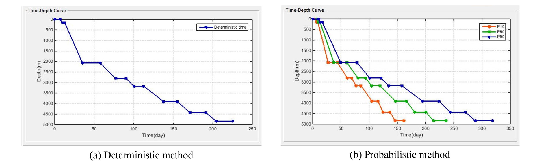
대상 시추공은 육상에 위치하는 수직정(Vertical Well)으로 최종심도는 약 4,800 m이며, 심도별 시추계획은 7개의 시추공 구간(Hole Section)으로 구성되어 있다(Fig. 5). 해당 시추공의 경우 현장 자료의 시추계획은 약 320일이며, 실제 시추기간은 약 220일 소요되었다.
개발한 프로그램을 이용하여 현장 시추공의 결정론적 및 확률론적 시추기간 예측을 수행하고자 해당 광구에 포함된 10개 시추공의 시추 기술자료를 분석하여 구축된 기초자료를 활용하였다. 이를 통해 각 시추작업을 수행하는데 소요된 작업시간의 최솟값, 평균값, 최댓값, 표준편차 등과 같이 확률분포의 형태를 결정할 수 있는 확률분포의 인자 값을 산출하였다.
시추공 A의 최종시추보고서를 통해 분석한 각 시추공 구간의 심도 정보와 해당 광구에 대한 시추작업의 확률분포 인자 값을 이용하여 삼각분포 형태로 설정하였으며, 몬테카를로 시뮬레이션 적용 시 신뢰성 있는 확률론적 결과를 도출하기에 충분히 큰 10,000회의 조건으로 난수를 발생시켰다. 시추 작업 중 예상하지 못한 시추문제로 인해 발생한 NPT(Non Productive Time)는 각 시추공에 따라 편차가 매우 크기 때문에 해당 광구의 평균 NPT 소요시간의 경우 단일값을 사용하였다.
평균값으로부터 도출되는 결정론적 방법의 결과, 수직정 A의 시추기간은 약 225.4일이고 확률론적 시추기간 예측 결과 P10, P50, P90에 해당하는 시간은 각각 168.7, 241.0, 320.3일로 계산되었다(Fig. 6). 분석에 사용한 시추공은 시추 자료가 모두 존재하고 NPT의 비중이 매우 낮은 경우로 결정론적 방법 및 P50의 예측 결과와 실제 시추기간의 결과에 큰 차이를 보이지 않았으나, 확률론적 방법의 결과는 최종시추보고서 상 시추계획 시간을 포함하는 결과를 도출하였다. 또한, 확률분포 형태와 다수의 시추공에 대한 데이터베이스 구축 시 보다 신뢰성 있는 예측이 가능할 것으로 사료된다.
추정된 결과를 통해 시추구간별로 소요된 시간의 비교가 가능하고 시추기간의 편차가 큰 차이를 보이는 구간을 확인할 수 있었으며(Fig. 7a), 프로젝트의 소요기간에 대한 확률분포 결과를 파악할 수 있었다(Fig. 7b). 각 개별 시추작업의 소요시간을 통해 전체 시추기간 중 분류한 주요 시추작업이 차지하는 비율과 시간을 파악할 수 있으며(Fig. 8), 주로 시추, 이송, 순환(Circulating) 작업이 큰 비중을 차지한 것을 확인하였다.
수평정 B의 시추기간 예측
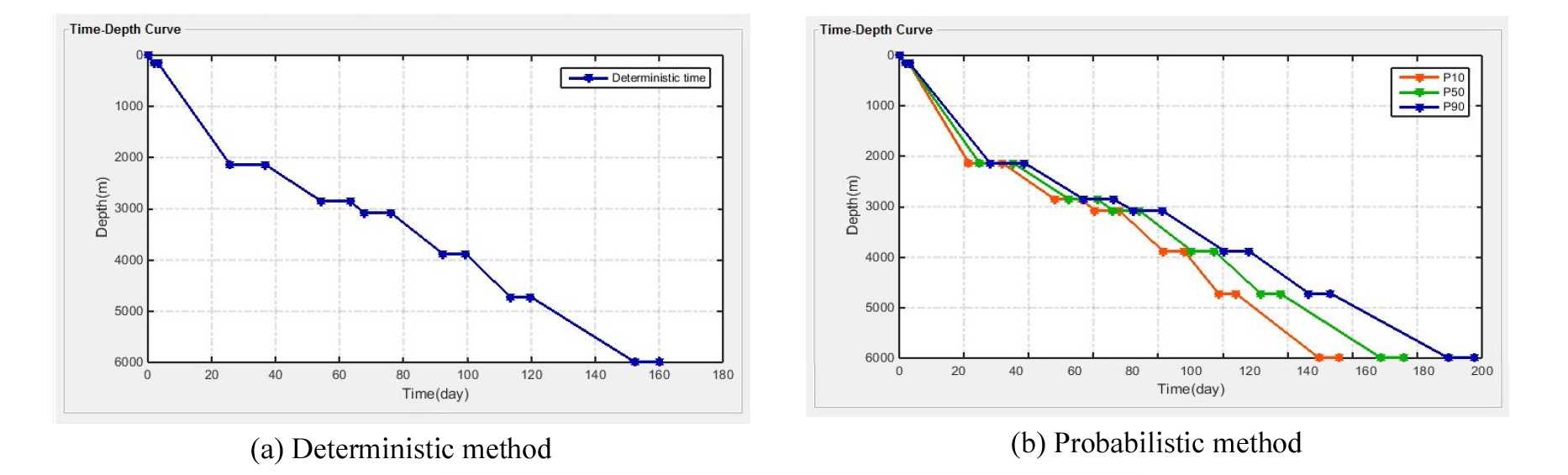
시추공 A와 동일한 광구에 위치하는 수평정(horizontal well) B의 경우 시추계획 수립단계의 시추공으로 측정 깊이(Measured Depth) 약 4,700 m, 목표심도는 6,000 m이며, 7개의 시추공 구간으로 심도별 시추계획을 구성하였다. 시추작업에 대한 확률분포 설정을 위하여 시추계획을 위해 주어진 정보를 바탕으로 소요된 작업시간의 최소값, 평균값, 최대값, 표준편차 등의 인자 값을 산출하였으며, 시추작업에 대한 확률분포 형태는 삼각분포를 사용하였다.
시추공 B의 시추기간 예측 결과 결정론적 방법의 경우 약 160.1일이며, P10, P50, P90에 해당하는 시간은 각각 141.6, 162.5, 185.0일로 추정하였다(Fig. 9). 시추작업 구간 그래프 결과를 통해 각 구간의 정보와 소요된 시간을 파악할 수 있었으며(Fig. 10a), 프로젝트의 소요기간에 대한 확률분포 결과를 확인할 수 있다(Fig. 10b). Fig. 11과 같이 시추기간 예측 결과를 통해 시추공 B의 경우 시추 작업이 50% 이상의 높은 비율을 차지하는 것을 파악할 수 있었다.
결론
이 연구에서는 불확실성을 내포한 시추작업에 대하여 확률론적 기법을 이용하여 시추기간을 예측하고자 하였으며, 이를 적용하여 현장 시추공의 시추계획을 수립하고자 하였다. 또한, 몬테카를로 시뮬레이션 적용 시 개별 시추작업에 대한 확률분포의 인자 값을 현장 시추 자료로부터 도출된 값을 활용하였다. 이 연구에서 적용한 시추기간 확률론적 예측 방법은 향후 E&P 사업의 계획 수립 시 시추기간 예측에 활용 가능하며, 다수의 시추공에 대한 데이터베이스 구축 시 보다 신뢰성 있는 예측이 가능할 것으로 사료된다.
1.단일값을 예측하는 결정론적 방법을 보완하고자 시추계획 작성 시 확률론적 방법을 적용하는 일련의 과정을 통해 시추기간을 예측하였다.
2.일반적인 시추작업과 일일시추보고서 및 상용프로그램의 작업항목을 반영하여 주요 시추작업을 분류하였으며, 이를 바탕으로 구축한 시추공 구간에 따른 통계 자료를 분석에 활용하였다.
3.개발한 시추기간 예측 프로그램을 활용하여 결정론적 및 확률론적 시추기간 예측 결과를 확인할 수 있으며, 시간-심도 그래프, 시추작업 구간 그래프, 전체 시추기간에 대한 확률 그래프를 통해 확률에 따른 시추기간을 파악하였다.














