서 론
연구방법
시료채취 및 전처리
실험방법
물리‧화학‧생물학적 특성 분석방법
결과 및 고찰
원시료 TPH 농도
토양경작 공법적용 후 토양건강성 평가
열탈착 공법적용 후 토양건강성 평가
토양경작 및 열탈착 공법 적용 후 저감특성 비교
결 론
서 론
국내에서는 폐기물을 비롯하여 다양한 화학물질과 농약, 유류 등의 사용으로 인하여 유류 및 중금속 등으로 오염된 토양이 빈번하게 확인되었다. 이를 정화하기 위해 환경부는 토양환경보전법을 제정하고 이 중에서도 정화토양의 재활용에 대해 많은 관심을 갖고 정책을 추진하고 있으며 오염된 토양을 정화하기 위한 다각적인 방안을 수립하여 운영하고 있다.
국내 토양정화시장 활성화를 위한 기반마련 연구(MOE, 2013)에 의하면, 2007~2011년까지 국내에서 발생한 오염토량은 28,483천 톤(평균 5,696천 톤/년)으로 조사되었고, 한국환경산업기술원의 자료에 의하면 2016~2017년 오염토량은 연평균 5,220 천 톤이 발생한 것으로 확인되었다(KEITI, 2019). 한편, 2015년부터 2019년까지 5년간 8개 반출정화업체의 반출정화 실태조사 결과에 의하면 오염토양 중 유류오염 비율이 77%로 가장 높았고, 유류와 중금속 복합오염은 12%, 중금속 오염은 11%로 확인되었다. 이 중 유류오염은 주로 주유소 부지(56.4%), 공장부지(25.0%), 군사시설(15.0%) 및 기타(3.6%) 순으로 나타났으며, TPH 및 BTEX가 주요 오염물질로 확인되었다(Han, 2021). 주유소의 경우 주로 지하 저장시설 누출로 인하여 토양 및 지하수 오염 피해가 계속적으로 확산되었고(Hong et al., 2011), 최근 토양환경 문제로 사회적 이슈가 되고 있는 반환 미군기지에 관한 연구(KEI, 2017)에 의하면 군사 기지를 재정비하거나 폐쇄할 경우 해당 군사기지 면적 중 약 57%가 오염된 것으로 보고하였으며, 주로 지하매설 유류 배관에서 유류 노출이 장기간에 걸쳐 넓은 지역을 고농도로 오염시킨 것으로 확인되었다. 특히, 반환미군기지 및 군부대 등에서의 유류오염에 의한 환경문제가 지속적으로 발생할 것을 전망하고 있어 이에 대한 적절한 관리의 필요성을 강조되고 있다(Ahn, 2006; Lee, 2008).
이러한 유류오염토양을 정화하기 위하여 다양한 복원기술 적용이 가능하며, 열적 처리의 경우 대체로 오염물질의 농도가 높고 오염지역 규모가 작을 경우에 효율적인 적용이 가능하고 오염물질의 농도가 낮고 오염지역 규모가 클 경우는 생물학적 처리가 유리하다. 또한, 물리 ‧ 화학적 처리는 다양한 곳에 적용될 수 있는 장점이 있다(Yang and Lee, 2007). 하지만, 토양 내 오염물질을 제거하기 위해 사용된 열적, 생물학적, 물리 ‧ 화학적 기술들은 오염물질의 농도를 저감시켜 주지만 토양의 특성에도 영향을 주어 토양 기능 및 건강성을 저하 시킬 수 있다(Cébron et al., 2009).
이에, 환경부는 적정한 관리 ‧ 보전으로 토양환경의 건강성 증진을 목표로 제2차 토양보전기본계획(2020~2029)을 수립하고 오염토양 반출정화 관리 강화 측면에서 정화토양을 적극적으로 재활용하기 위한 조치 마련의 필요성을 강조하고 있어 오염토 정화 이후 토양건강성에 대한 관심이 높아지고 있다(MOE, 2020). 하지만, 유류오염토양 정화와 관련된 연구는 주로 오염물질 제거효율평가(Jeon et al., 2005; Ju et al., 2009) 및 정화 효율을 높이기 위한 연구(Oh, 2013; Kim et al., 2008)등이 수행되었고, 정화 전 ‧ 후 토양건강성을 평가한 연구는 부족한 실정이다.
따라서, 본 연구에서는 유류오염 발생 빈도가 높은 주유소 부지와 군부대 오염 토양을 대상으로 토양경작 및 열탈착 공법을 적용하여 정화 전 ‧ 후 TPH 농도 변화를 고찰하고 8가지의 토양건강성 평가 항목(pH, EC, CEC, 토양 유기물, 유효인산, 토양호흡, 밀도, β-glucosidase 등)을 설정하여 정화 전 ‧ 후 특성변화를 비교하였다. 특히, 각 정화공법에 대해 토양건강성 저감 요인에 대한 원인을 평가하기 위하여 실시조건에 대해 변화를 주어 연구를 수행하였다. 이러한 연구결과는 오염토를 정화한 이후 다양한 목적으로 재활용하기 위한 기본적인 자료제공과 더불어 토양건강성 저감을 개선하기 위한 기초자료로 활용될 수 있다.
연구방법
시료채취 및 전처리
정화 전 ‧ 후 오염도 저감 및 토양건강성을 실시조건별로 비교하기 위하여 토양경작공법을 적용한 군부대부지 2지점(LF-1, LF-2)과 열탈착 공법을 적용한 군부대부지 2지점(TD-1, TD-2) 및 주유소 부지 4지점(TD-3, TD-4, TD-5, TD-6) 등 총 8지점을 선정하였으며 각 지점별로 15~20 kg의 토양을 채취하였다. 채취된 시료는 폴리에틸렌 봉투 및 플라스틱 박스 등을 활용하여 밀봉 상태로 실험실로 운반 후 균질하게 혼합하고 0~4°C로 실험 전까지 보관하였다.
실험방법
토양경작공법은 경작(Tilling)에 의한 토성 변화와 영양염류 공급에 의한 토양 구성 물질 변화, 온도와 함수율 조절에 의한 토양 수분변화에 따른 미생물 성장 등을 통해 유기오염물질을 정화하는 공법으로 이러한 공정 특성을 반영하여 실험을 수행하였다. 즉, 단위공정별 오염저감 효율 및 토양건강성 평가항목를 검토하기 위하여 온도와 함수율을 주로 고려항목으로 설정하였으며 온도는 20~30°C, 함수율은 5~10% 및 10~15%로 적용하여 실험을 수행하였다. 실험은 10 cm 두께의 트레이에 오염토양을 펼친 후 0.3% 농도(1톤에 3L)로 희석된 미생물과 영양분을 CNP비율(100: 10:1)에 맞추어 투입하고 일정 간격으로 함수율 조절과 토양교반 등을 약 20일간 진행하였다(Table 1).
열탈착 공법의 경우, 일정 온도에 의해 유기오염물질을 휘발시켜 정화하는 기술로서 가열에 의한 토성, 수분 및 유기물함량 변화와 생물상 및 미생물 개체 수 변화에 영향을 미치므로 실험은 온도(200~600°C)와 가열시간(10분, 20분 및 30분)을 고려하여 수행하였다(Table 1).
Table 1.
Experimental design for remediation methods
| Remediation methods | Temperature (°C) | Water content (%) | Operating time |
| Land farming |
20 30 |
10~15 15~20 |
20 day (1, 3, 5, 7, 10, 15, 20 day) |
| Thermal desorption |
200 300 400 600 | - |
10 min 20 min 30 min |
물리‧화학‧생물학적 특성 분석방법
정화공법에 따른 정화효율을 평가하기 위하여 토양오염공정시험기준에 따라 정화 전 ‧ 후 토양의 TPH 분석을 수행하였다. 또한, 정화 전 ‧ 후 토양건강성 변화를 고찰하기 위하여 다양한 토양건강성 항목의 평가를 수행하였다.
토양건강성 평가항목은 용적밀도(Bulk density), pH, EC (Electrical conductivity), CEC(Cation exchange capacity), 유기물함량(Soil organic metter, SOM), 유효인산(Available phosphorus, Av.P2O5), 토양호흡(Soil respiration) 및 토양효소(β-glucosidase)를 대상으로 분석하였다. 분석방법은 용적밀도의 경우, 오염 및 정화토양과 같이 굴착되거나 원형을 유지하지 못한 교란된 토양에 적용되는 교란된 토양 측정법을 활용하였으며, pH, EC, CEC, 유기물함량 및 유효인산은 토양 화학분석법(2010)에 준하여 수행하였다. 또한, 토양호흡과 효소는 Weaver et al.(1994) 및 Stott(2019) 등을 참고하여 알칼리성 흡수제에 의한 토양호흡 측정 방법과 미생물 분석방법을 적용하여 수행하였다(Table 2).
Table 2.
Analytical methods for soil health evaluation
| Properties | Item | Methods | References |
| Physical | Bulk density | - | Tan (2005) |
| Chemical | pH | 1:5 H2O | NAAS (2010) |
| EC | 1:5 H2O | ||
| Av.P2O5 | Bray No. 1 (SnCl2) | ||
| SOM | Walkely and Black (1934) | ||
| CEC | CEC Simple analysis | ||
| Biological | Soil respiration | Alkali absorption method | Weaver et al. (1994) |
| β-glucosidase | - | Stott (2019) |
결과 및 고찰
원시료 TPH 농도
채취된 시료의 초기 TPH 농도 평가를 위하여 일부 시료를 분취하여 분석하였으며, 그 결과 토양경작공법 적용 시료는 746~2,226 mg/kg, 열탈착공법 적용 시료는 1.176~ 2,226 mg/kg의 농도를 보였다. 사용된 시료는 모두 3지역 시료를 이용하였으며, 2개의 시료(LF1, TD-2)가 3지역 토양오염 우려 기준(2,000 mg/kg)을 넘는 것을 확인하였다(Table 3).
Table 3.
Concentrations of TPH in original soils
토양경작 공법적용 후 토양건강성 평가
정화효율
TPH로 오염된 군부대 토양 LF-1과 LF-2를 20일간 토양경작 공법을 적용하여 실험한 결과 20°C로 토양경작을 적용했을 때 보다 30°C 조건으로 토양경작공법을 적용하였을 때 더 높은 정화효율을 보였으며, 함수율의 경우 15%로 유지하였을 때 정화효율이 더 높은 것으로 확인하였다. 특히, 토양오염 환경기준을 초과한 LF-1 시료의 경우, 모든 온도와 함수율에서 공법적용 1일 경과 후 환경기준 이내로 검출되었고, TPH 농도 감소 폭이 큰 것으로 평가되었다(Fig. 1).
토양건강성 평가항목 변화
물리적 특성
용적밀도의 경우, 토양경작공법 적용 후 원시료와 비교했을 때 온도와 함수율 변화에 따라 큰 차이를 보이지 않는 것으로 평가되었으며(Fig. 2), 이는 초기 1.5 g/cm3 에서 토양경작공법 적용 후 ±5% 이내의 미미한 차이를 보인 Kim et al.(2021)의 실험과 같은 결과임을 확인하였다.
화학적 특성
pH는 원시료와 비교하여 미생물 혼합에 따른 영향으로 약 pH 7.5에서 pH 8.5로 소폭 상승하는 것으로 평가되었으며 이는 토양이 완충작용을 하여 pH의 급격한 변화를 막아주고 있는 것을 확인하였다(Wang et al., 2016). 또한, 온도와 함수율에 의한 변화양상은 크지 않은 것으로 확인되었다.
EC는 초기(1~3일)에 증가하는 경향을 보이고, 이는 미생물 영양분 공급으로 EC의 값이 증가한 것으로 판단되며, 고농도의 경우(LF-1) 20°C에서 함수율이 15% 시료가 함수율 10% 시료보다 EC가 높게 측정되었지만 30°C에서는 반대로 함수율 10% 시료가 함수율 15% 시료보다 높은 것으로 확인되었다. 하지만, 저농도(LF-2)의 경우 고농도 시료와 반대로 20°C, 10% 함수율에서 더 높고, 30°C에서는 함수율 15% 시료가 높게 측정되는 것을 확인하였다. 다만, 전반적으로 변화폭이 낮은 것으로 평가된다.
CEC의 경우 초기에 감소하다 10일 경과 후 소폭 증가(10에서 14 cmol/kg)하는 경향을 보이며, 온도조건에서 20°C와 30°C 차이를 보이지 않았고 함수율이 높은 환경에서 상대적으로 많이 증가하는 것으로 확인되었다.
유효인산은 전반적으로 증가하는 경향을 보이고, 초기에 비해 시간이 지남에 따라 증가한다. 일부 시료(LF-1(10%))에서 차이가 있으나 온도가 높은 환경에서 증가 폭이 커지는 것을 확인하였다.
유기물함량의 경우 초기 상승 후 시간이 지남에 따라 원시료와 비슷한 값으로 서서히 감소하는 경향을 보였고, 지속적인 산소공급에 의한 유기물의 분해에 따라 유기물함량이 감소(Marín et al., 2006)해야 하지만, 투입한 미생물의 유기물분해가 원활히 이루어지지 못해 나타난 현상으로 판단된다(Fig. 3). 또한, 20°C보다 30°C에서 대체로 상대적 낮은 값을 보였고, 함수율과 관계없이 변화하는 것으로 보였다.
생물학적 특성
토양호흡은 20°C 및 30°C에서 모두 줄어드는 경향을 보인다. 토양효소(β-glucosidase)는 전반적으로 감소하는 것으로 평가되었다(Fig. 4). 이러한 결과는 토양경작공법 적용 전후 토양호흡이 94 mg/kg/day에서 141 mg/kg/day으로 변화한 Kim et al.(2021)과 초기 2~4 mg/kg/h에서 3~8 mg/kg/day으로 변화한 Besalatpour et al.(2011)의 결과와는 다른 양상을 보였다. 이는, 토양미생물의 호흡이 원활하게 이루어지지 못해 나타난 현상으로 판단되며, 이러한 이유로 유기물분해에 영향을 미친 것으로 보인다.
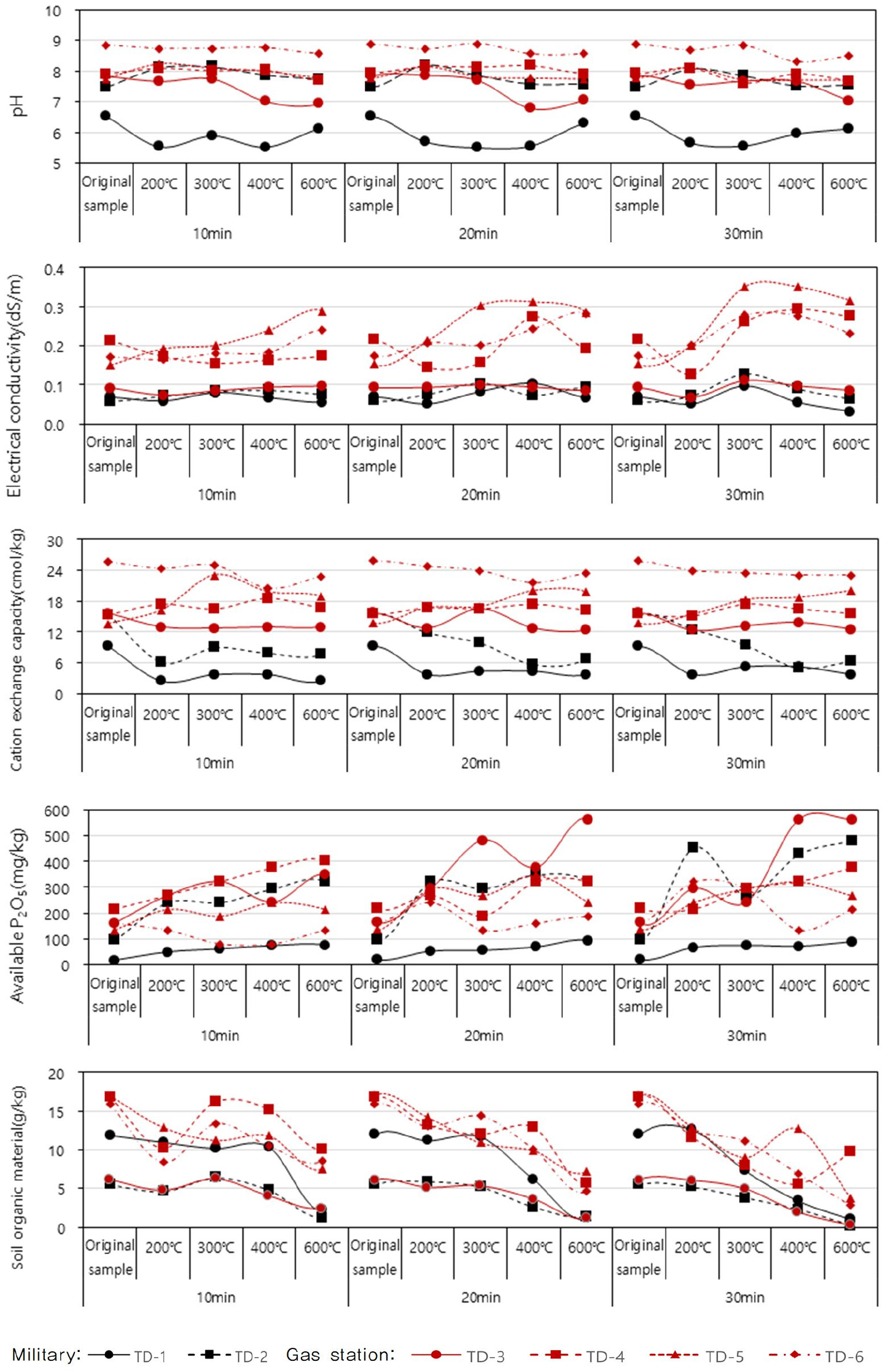
열탈착 공법적용 후 토양건강성 평가
정화효율
다양한 온도와 시간을 적용하여 열탈착 공법적용 결과 TPH의 농도는 Fig. 5와 같다. 전반적으로 가열시간이 증가하거나 높은 온도에서 TPH의 농도는 크게 감소하였고 특히, 200°C 20분 조건에서 정화효율이 평균 50.7%로 제일 낮았으며, 600°C 30분 조건에서 평균 97.8%의 정화효율을 보였다. 온도에 따른 TPH농도 변화를 보면 400°C에서 정화 시 500 mg/kg 이하로 낮은 농도를 보이며 600°C에서 불검출 되는 것으로 확인되었다(Fig. 5).
토양건강성 평가항목 변화
물리적 특성
용적밀도는 군부대(TD-1, TD-2)와 주유소(TD-3, TD-4, TD-5, TD-6)에서 각각 1.2~1.5 g/cm3 및 1.2~1.7 g/cm3의 범위를 보이는 것으로 확인되었으며(Fig. 6), TD-1을 제외 모든 시료가 온도가 증가할수록 용적밀도가 소폭 증가하는 것으로 확인되었고 이는 Kim et al.(2021)과 같은 결과를 보인다.
화학적 특성
pH의 경우 적은 변화의 폭으로 변화하는 것으로 나타났으며, 대부분이 pH 7.5~9.0 범위에 있지만 TD-1시료만 pH 5.5~6.5의 낮은 범위를 보이는 것으로 확인되었다.
EC는 일부 시료를 제외한 대부분이 증가하는 경향을 보였으며, 군부대 시료(TD-1, TD-2) 및 주유소 부지(TD-3)시료는 다른 시료보다 낮은 값(0.05~0.1 dS/m)을 보였고 나머지 시료는 0.15~0.35 dS/m의 값을 보였다. 이러한 결과는 Han et al.(2021)의 결과와 유사하며, 이는 교환성양이온의 감소와 증가에 원인으로 확인되었다.
CEC의 경우 일부 시료(TD-3, TD-5)에서 상승하나 전반적으로 감소하는 경향을 보이며 군부대 정화토가 주유소 정화토에 비해 감소 폭이 큰 것으로 확인되었다.
유효인산의 경우 전반적으로 온도가 상승하거나 공정시간이 길어질수록 유효인산의 증가를 보인다. 이는 Biache et al.(2008)의 실험과 동일한 결과이며 열탈착 공법에 따라 토양 내 존재하는 인의 형태가 이용이 가능한 형태로 바뀌어 유효인산이 증가하는 것으로 확인되었다. 또한, 토양 내 인은 열에 매우 강하여 열처리로 인한 토양의 질량이 감소하더라도 인의 손실은 일어나지 않아 상대적인 인의 농도증가가 일어날 수 있는 것을 확인하였다(Galang et al., 2010)
토양 유기물의 대부분의 시료가 원시료보다 낮은 값을 보이며 600°C에서는 급격히 감소하는 것으로 확인되었다. 이는 열처리 시 토양 유기물은 200°C 이상에서 손실이 일어나며 350°C에서 10분 처리 시 12% 그리고 60분 처리 시 거의 대부분의 토양 유기물이 제거될 수 있는 것으로 확인되었다(Sierra et al., 2015)(Fig. 7).
생물학적 특성
토양호흡 및 유기물함량의 경우 공정의 시간이 길어지고 온도가 높아질수록 줄어드는 것으로 확인되었다. 유사한 연구를 수행한 O'Brien et al.(2018)에 따르면 오염 토양의 정화를 위한 열처리에서 오염물질을 제거를 위한 온도는 일반적으로 토양 내 유기물에 영향을 미치는 온도 이상이기 때문에 유기물의 분해가 일어나는 것으로 보인다. 토양효소(β-glucosidase)는 일부 원시료와 비슷하거나 높은 값을 보이지만 대부분의 시료는 원시료 보다 낮은 값을 보인다. 또한, 300°C 및 400°C에서 원시료와 비슷하거나 높은 값을 보이고 200°C 및 600°C에서는 원시료보다 낮은 값을 보이고 있다. Kim et al.(2021)의 결과 약 11.9%감소한 것으로 확인되었으며 가열공정에서 사용되는 열이 유기물에 영향을 미쳐 분해가 일어나므로 감소하는 경향을 보였다(Fig. 8).
토양경작 및 열탈착 공법 적용 후 저감특성 비교
토양경작 공법
온도20°C 및 습도 10%의 조건으로 토양경작공법을 적용하였을 때 용적밀도는 원시료와 같거나 적은 폭으로 감소하며, 토양호흡 및 토양효소는 대폭 감소하였다. pH, CEC 및 유효인산의 경우 적은 폭의 상승을 보였으며, EC는 대폭 상승하는 경향을 보였고 토양 유기물은 대체로 대폭 상승하는 것을 보였다.
20°C와 15% 적용 시 용적밀도는 대체로 변화가 없었지만 일부 소폭 감소하였다. 토양호흡 및 토양효소의 경우 10%와 동일하게 대부분 대폭 감소하였지만, 일부분 소폭 감소하거나 차이를 보이지 않았다. pH는 소폭으로 증가하는 경향을 보였고, CEC 또한 소폭으로 증가하였지만, 일부 대폭 상승하는 경향을 보였다. EC와 유효인산은 대폭 상승하였고 유기물함량 또한 대체로 대폭 상승하는 경향을 보이지만 일부 원시료와 차이를 보이지 않았다.
온도 30°C와 습도 10%를 적용하였을 때 용적밀도의 경우 원시료와 차이를 보이지 않았으며 pH는 소폭 상승하였다. EC 및 유효인산은 대폭 상승을 하였고 유기물 또한 대폭 상승하였지만 일부 소폭 상승하는 경향을 보였다. CEC, 토양호흡 및 토양효소는 대폭 감소하였다. 30°C와 15% 적용 시 모든 항목이 30°C, 10%조건과 유사하게 변화하는 것으로 나타났다(Table 4).
Table 4.
Changes in soil health items before and after land farming
열탈착 공법
열탈착 공법을 10분 적용 시, 용적밀도는 온도증가에 따라 소폭 감소하는 것으로 보이다가 30분 적용 시까지 점차 상승하는 경향을 보였고, CEC의 경우 소폭 감소하다가 소폭 상승하는 것으로 변화하였으며, 유기물함량, 토양호흡 및 토양효소는 대폭 감소하는 경향을 보였다. pH의 경우 소폭 상승하였지만, 온도증가에 따라 감소하였고, EC의 경우 소폭 상승하였으며, 유효인산의 경우 대폭 상승하였다.
20분간 열탈착 공법을 적용했을 때 CEC의 경우 대체로 감소하는 경향을 보였으며, 유기물 및 토양호흡은 높은 폭으로 감소하였다. 용적밀도, EC 및 유효인산의 경우 대체로 대폭 상승하였고, pH는 대부분 소폭 상승하는 경향을 보였다.
열탈착공법을 30분간 적용 시 pH, CEC는 대체로 감소하는 경향을 보이고 유기물함량 및 토양호흡의 경우는 큰 폭으로 감소하는 경향을 보였다. EC, 용적밀도 및 유효인산은 큰 폭으로 증가하는 경향을 보였다(Table 5).
Table 5.
Changes in soil health items before and after thermal desorption
결 론
토양경작공법을 적용하여 TPH오염토양을 정화 할 경우 경작기간이 증가할수록 오염농도는 줄어들었으며 경작온도와 함수율이 높은 환경에서 정화효율이 더 높은 것으로 나타났다. 토양의 물리적 특성인 용적밀도는 큰 차이를 보이지 않는 것으로 평가되었으며 화학적 특성의 경우 pH, EC, CEC, 유효인산, 유기물함량 모두 증가하는 경향을 가지고 있다. 생물학적 특성인 토양호흡과 토양효소는 온도 및 습도에 관계 없이 감소하는 경향을 보인다.
열탈착 공법의 경우 높은 온도와 가열시간이 증가할수록 정화효율이 증가한 것으로 나타났으며, 600°C온도에서는 가열시간에 관계없이 오염물질(TPH)이 모두 불검출이 나온 것으로 확인되었다. 물리적 특성인 용적밀도는 일부 시료를 제외한 모든 시료에서 소폭 상승했으며 화화적 특성의 경우 pH, EC 및 유효인산은 증가했으며 CEC 및 유기물함량은 감소한 것으로 나타났고 생물학적 특성인 토양호흡 및 토양효소는 대체적으로 감소하는 경향을 보였다.
토양정화공법 실시조건에 따라 토양건강성이 다른 양상으로 영향을 받는 것으로 나타났으며, 이러한 결과는 오염물질을 환경기준 이내로 줄이면서 토양건강성이 나빠지지 않도록 토양정화공법의 구체적인 실시조건을 정해야 하기 위한 기초적인 자료가 될 수 있다.










